Laser - matter interactions, Uwe Thumm, Kansas State University, Fall 2000

Back to syllabus



Chapter 6.6 Raman scattering



page 135
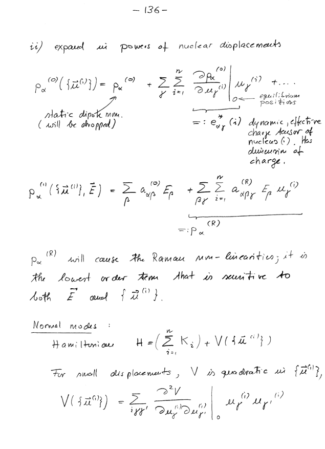
page 136
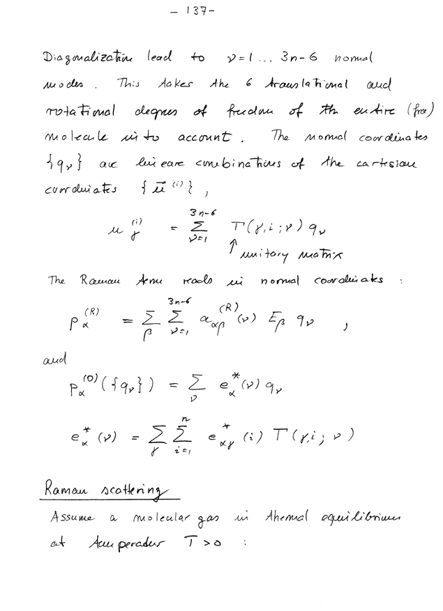
page 137
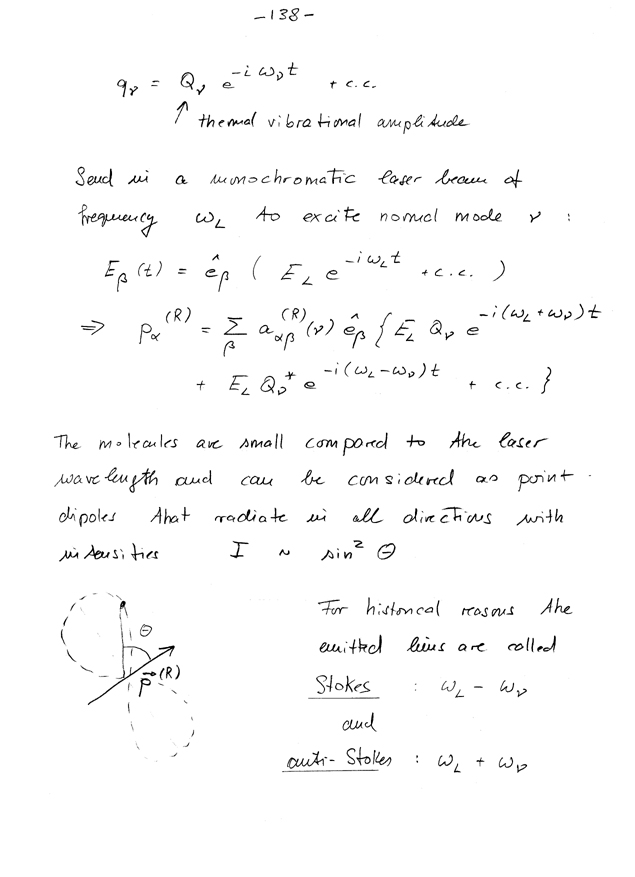
page 138
page 139
page 140
page 141


NEXT



Chapter 1
Chapter 2.1
Chapter 2.2
Chapter 2.3
Chapter 2.4a
Chapter 2.4b
Chapter 2.5
Chapter 3.1
Chapter 3.2
Chapter 3.3
Chapter 3.4
Chapter 4
Chapter 5
Chapter 6.1
Chapter 6.2
Chapter 6.3
Chapter 6.4
Chapter 6.5
Chapter 6.6