Laser - matter interactions, Uwe Thumm, Kansas State University, Fall 2000

Back to syllabus


Chapter 2.2 Keldysh model


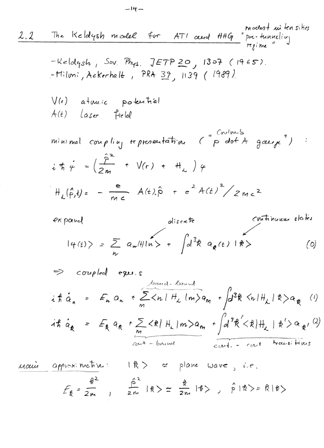
page 14
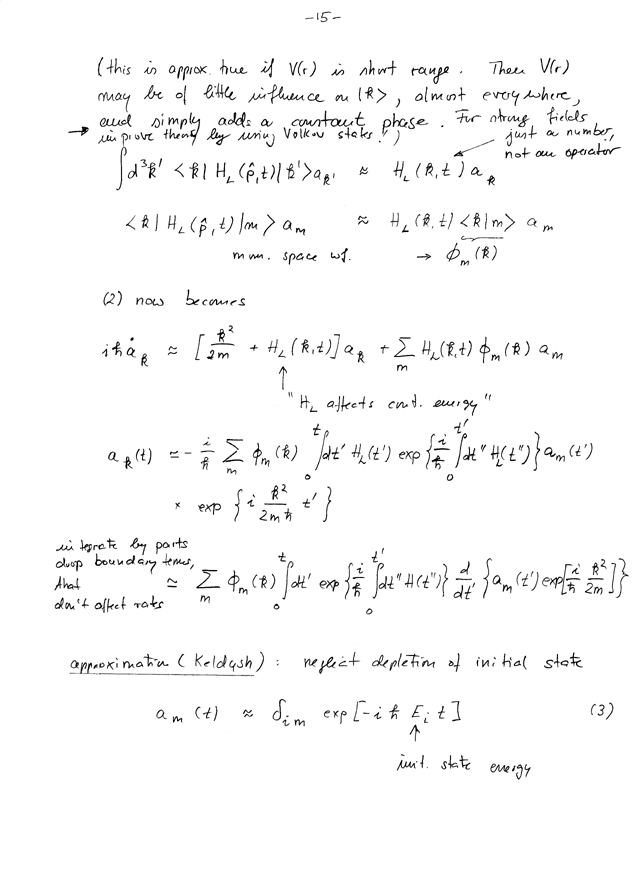
page 15
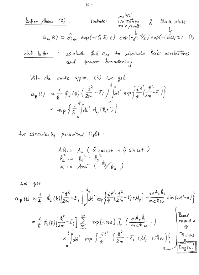
page 16
page 17
page 18


NEXT



Chapter 1
Chapter 2.1
Chapter 2.2
Chapter 2.3
Chapter 2.4a
Chapter 2.4b
Chapter 2.5
Chapter 3.1
Chapter 3.2
Chapter 3.3
Chapter 3.4
Chapter 4
Chapter 5
Chapter 6.1
Chapter 6.2
Chapter 6.3
Chapter 6.4
Chapter 6.5
Chapter 6.6