Laser - matter interactions, Uwe Thumm, Kansas State University, Fall 2000

Back to syllabus


Chapter 2.4b Floquet theories (PART II)


page 35
page 36
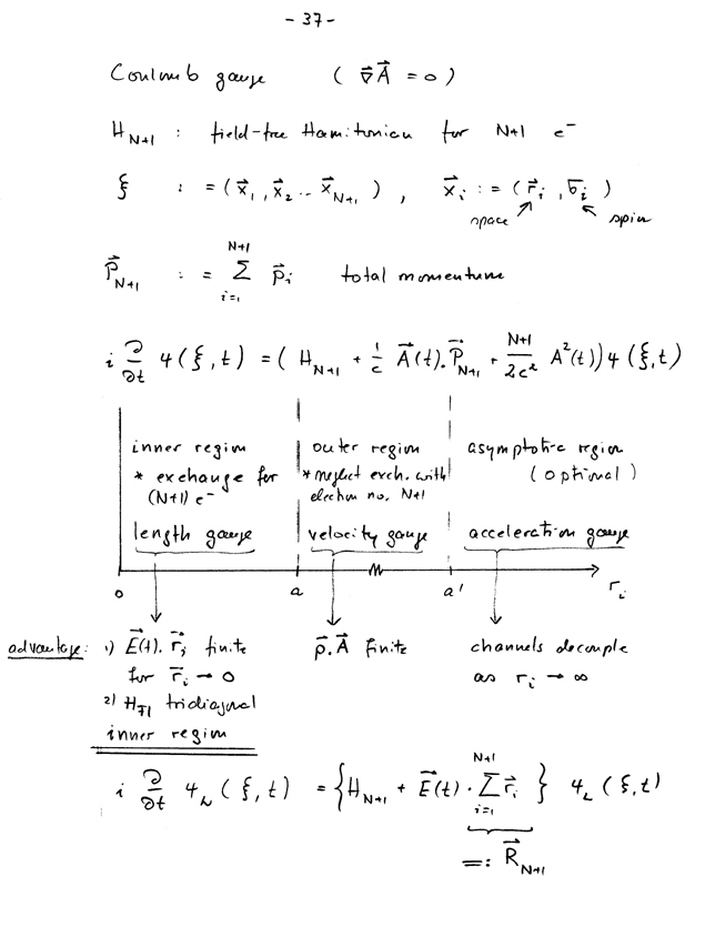
page 37
page 38
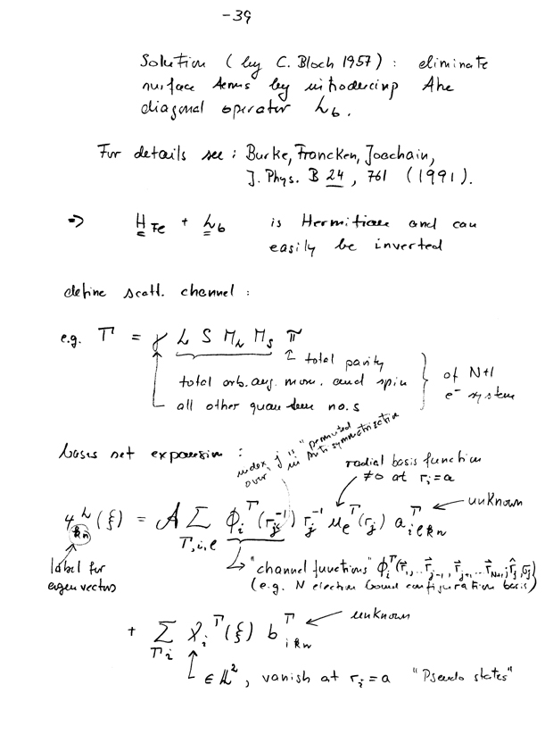
page 39
page 40
page 41
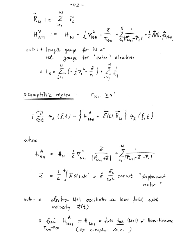
page 42
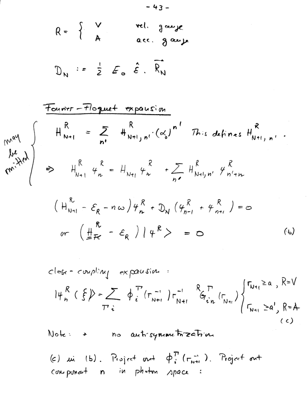
page 43
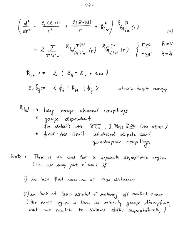
page 44
page 45
page 46
page 47
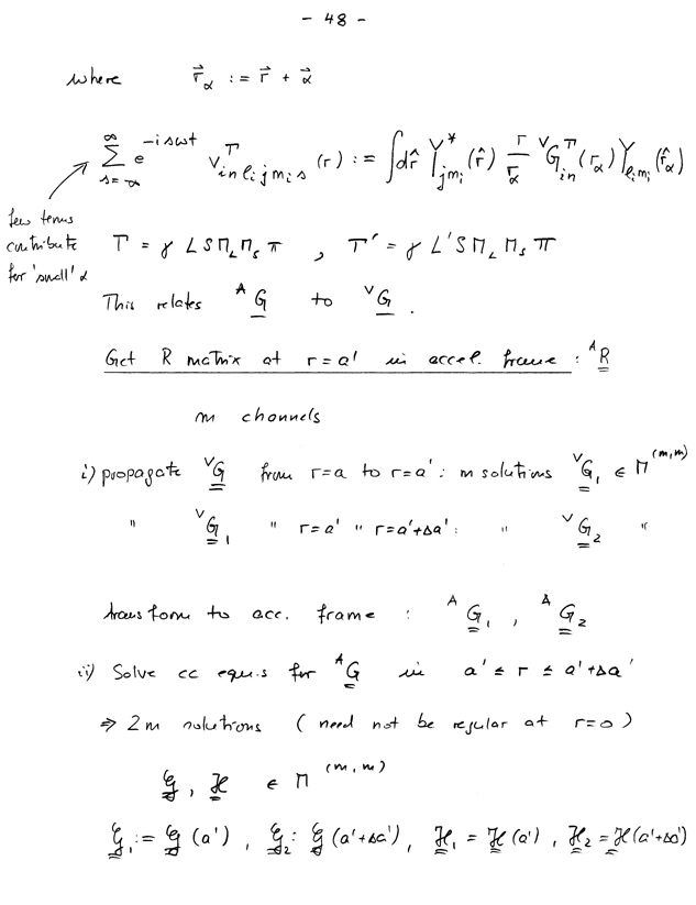
page 48
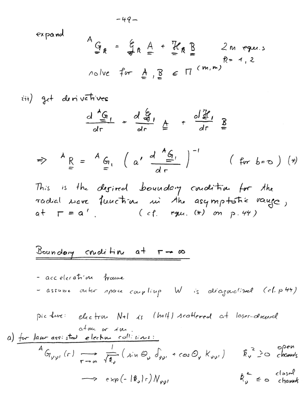
page 49
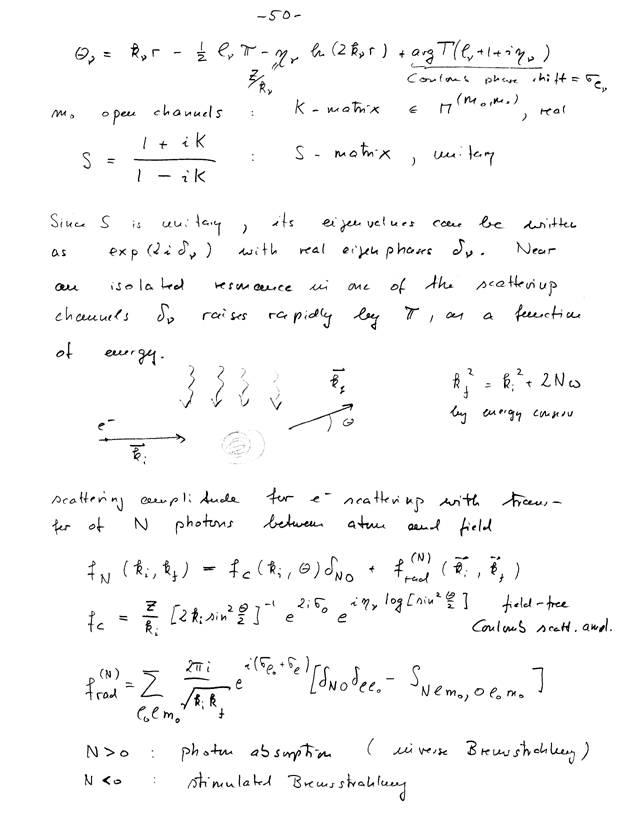
page 50
page 51
page 52
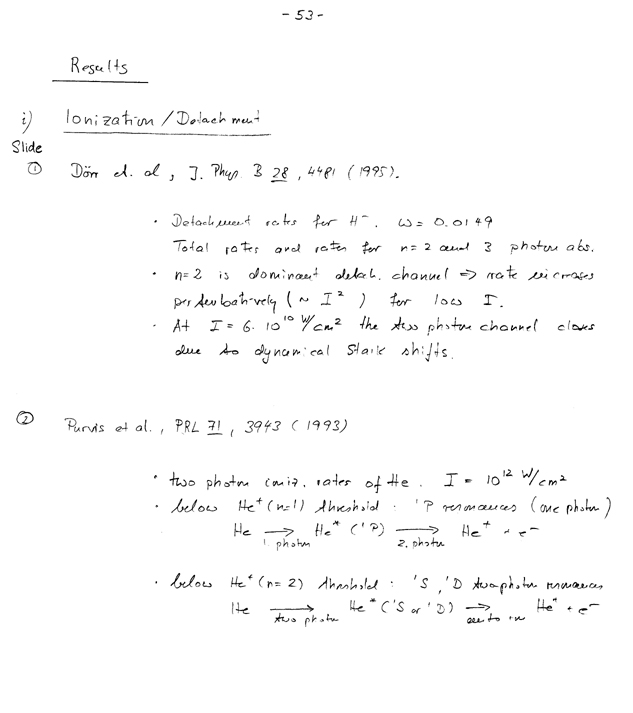
page 53
page 53a
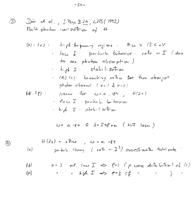
page 54
page 54a
page 54b
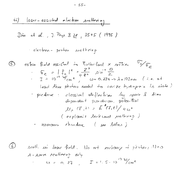
page 55
page 56
page 56a
page 56b
page 56c


NEXT



Chapter 1
Chapter 2.1
Chapter 2.2
Chapter 2.3
Chapter 2.4a
Chapter 2.4b
Chapter 2.5
Chapter 3.1
Chapter 3.2
Chapter 3.3
Chapter 3.4
Chapter 4
Chapter 5
Chapter 6.1
Chapter 6.2
Chapter 6.3
Chapter 6.4
Chapter 6.5
Chapter 6.6