Laser - matter interactions, Uwe Thumm, Kansas State University, Fall 2000

Back to syllabus


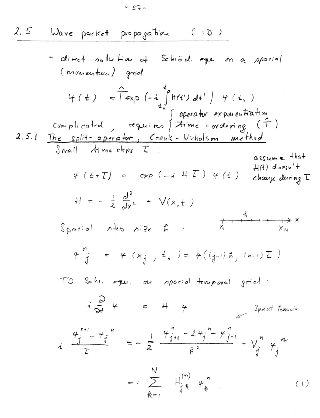
Chapter 2.5 Wave packet propagation

2.5 Wave packet propagation
page 57
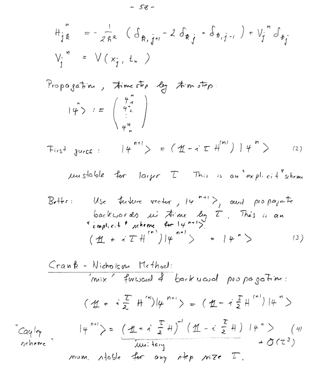
page 58
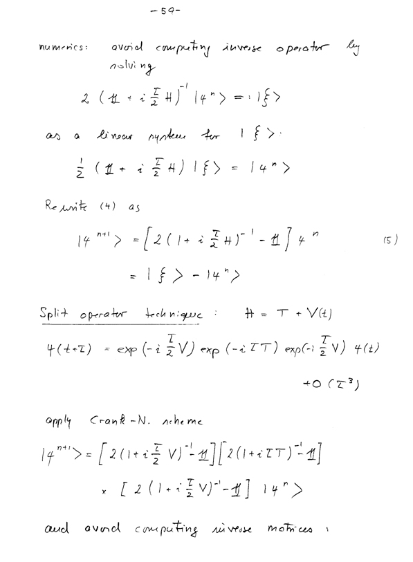
page 59
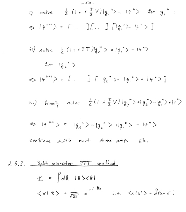
page 60
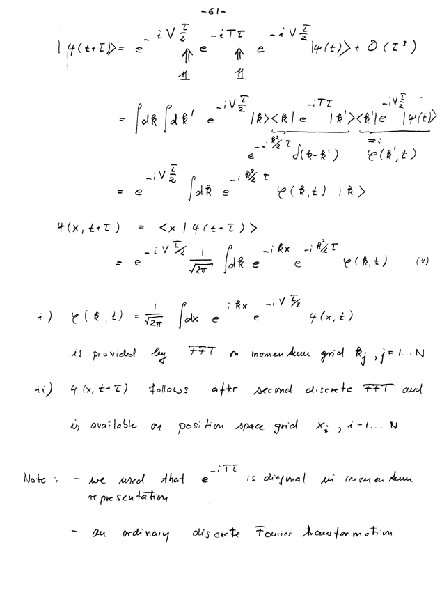
page 61
page 62
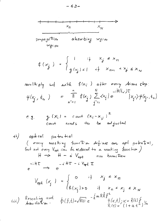
page 63
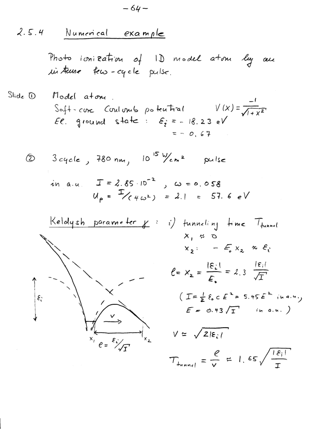
page 64
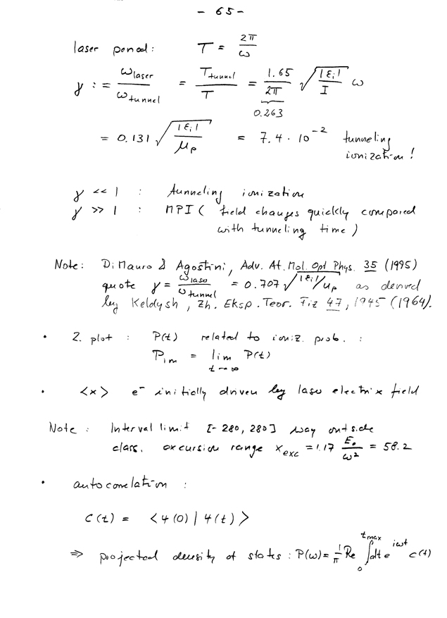
page 65
page 65a
page 65b
page 65c
page 65d
page 66
page 67
page 68


NEXT



Chapter 1
Chapter 2.1
Chapter 2.2
Chapter 2.3
Chapter 2.4a
Chapter 2.4b
Chapter 2.5
Chapter 3.1
Chapter 3.2
Chapter 3.3
Chapter 3.4
Chapter 4
Chapter 5
Chapter 6.1
Chapter 6.2
Chapter 6.3
Chapter 6.4
Chapter 6.5
Chapter 6.6