Laser - matter interactions, Uwe Thumm, Kansas State University, Fall 2000

Back to syllabus



Chapter 3.3 Mixed grid - basis set approach


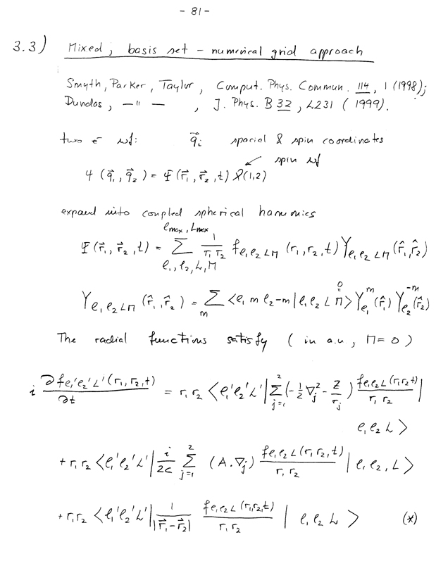
page 81
page 82
page 83
page 84
page 84a
page 84b
page 84c
page 84d
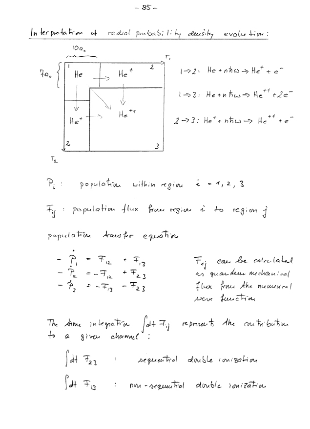
page 85
page 85a
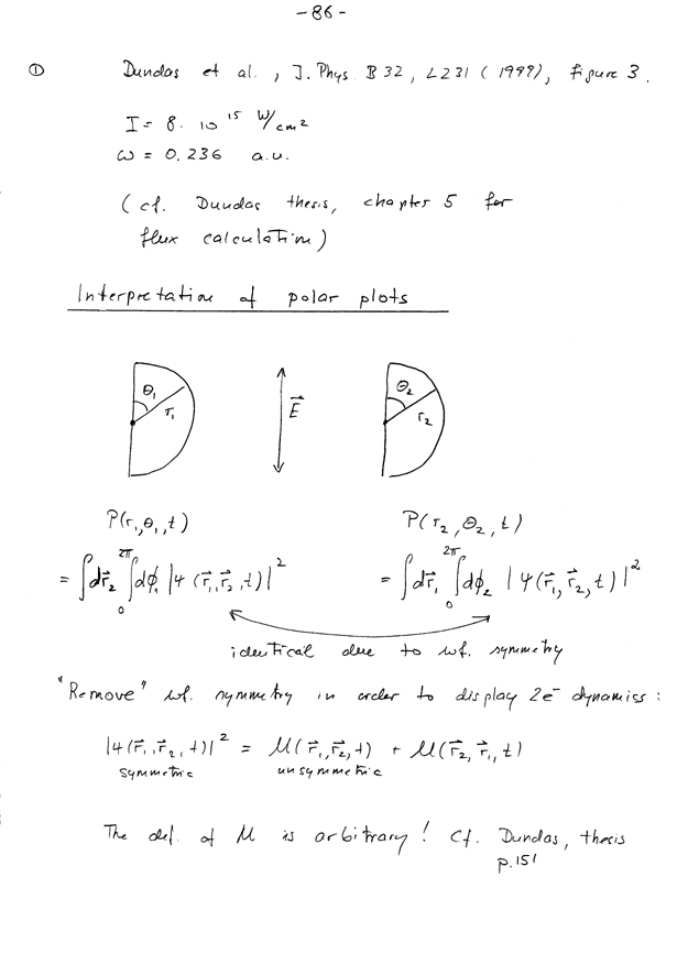
page 86
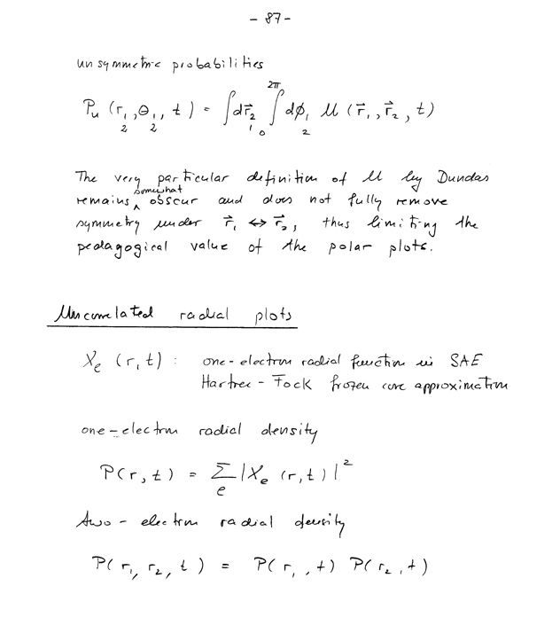
page 87


NEXT



Chapter 1
Chapter 2.1
Chapter 2.2
Chapter 2.3
Chapter 2.4a
Chapter 2.4b
Chapter 2.5
Chapter 3.1
Chapter 3.2
Chapter 3.3
Chapter 3.4
Chapter 4
Chapter 5
Chapter 6.1
Chapter 6.2
Chapter 6.3
Chapter 6.4
Chapter 6.5
Chapter 6.6