Laser - matter interactions, Uwe Thumm, Kansas State University, Fall 2000

Back to syllabus



Chapter 3.2 S-matrix theory


3.2 S-matrix theory
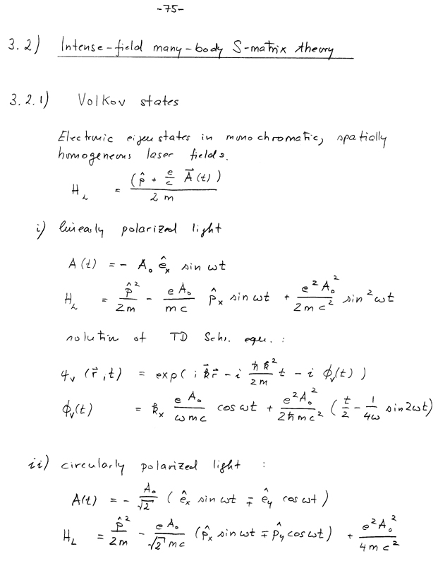
page 75
page 76
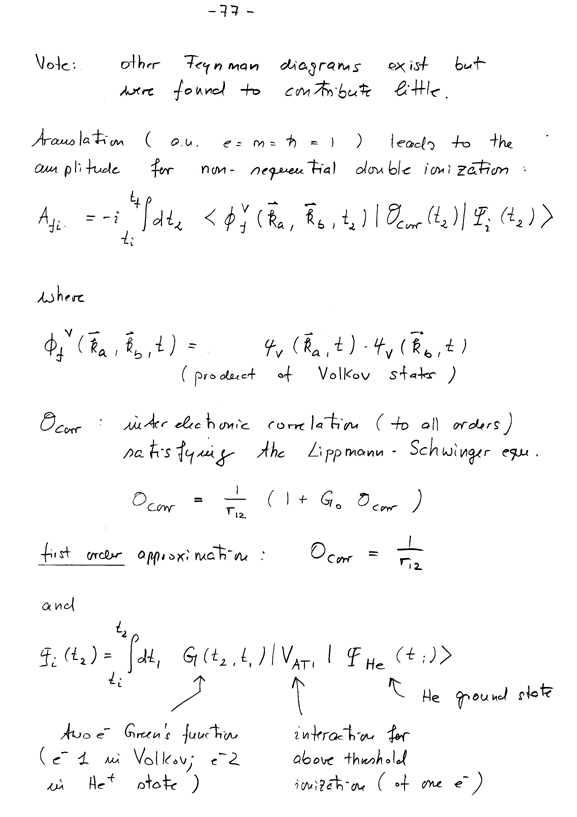
page 77
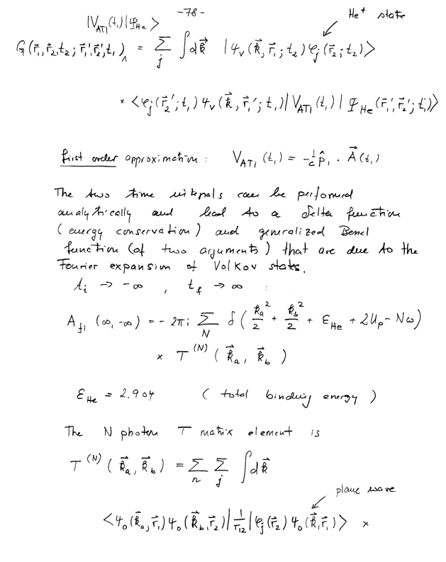
page 78
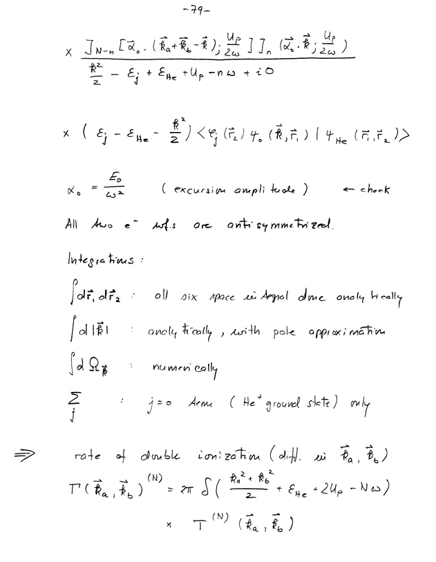
page 79
page 80
page 80a
page 80b


NEXT



Chapter 1
Chapter 2.1
Chapter 2.2
Chapter 2.3
Chapter 2.4a
Chapter 2.4b
Chapter 2.5
Chapter 3.1
Chapter 3.2
Chapter 3.3
Chapter 3.4
Chapter 4
Chapter 5
Chapter 6.1
Chapter 6.2
Chapter 6.3
Chapter 6.4
Chapter 6.5
Chapter 6.6