Laser - matter interactions, Uwe Thumm, Kansas State University, Fall 2000

Back to syllabus


Chapter 2.4a Floquet theories (PART I)


page 26
page 27
page 28
page 29
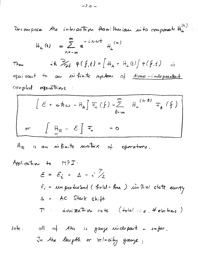
page 30
page 31
page 31a
page 32
page 33
page 33a
page 34


NEXT



Chapter 1
Chapter 2.1
Chapter 2.2
Chapter 2.3
Chapter 2.4a
Chapter 2.4b
Chapter 2.5
Chapter 3.1
Chapter 3.2
Chapter 3.3
Chapter 3.4
Chapter 4
Chapter 5
Chapter 6.1
Chapter 6.2
Chapter 6.3
Chapter 6.4
Chapter 6.5
Chapter 6.6