Laser - matter interactions, Uwe Thumm, Kansas State University, Fall 2000

Back to syllabus


Chapter 2.5 Wave packet propagation

2.5 Wave packet propagation
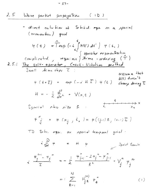
page 57
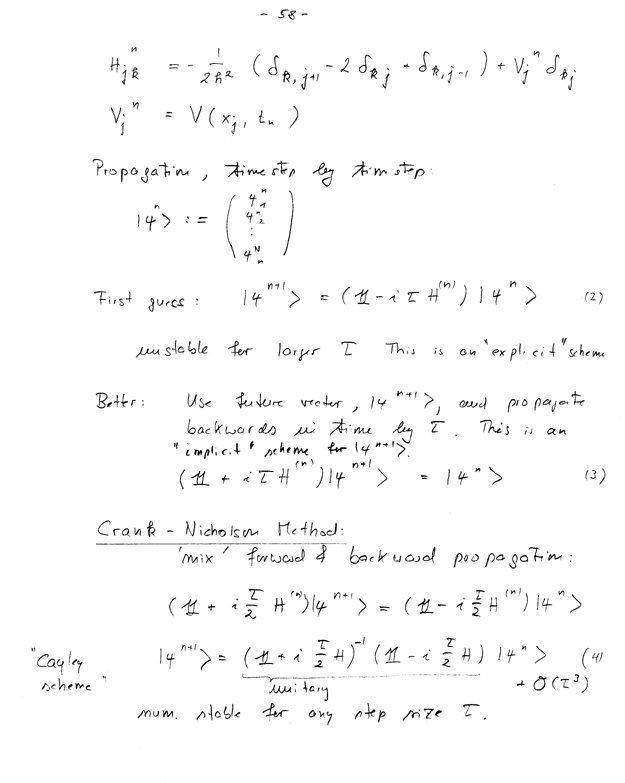
page 58
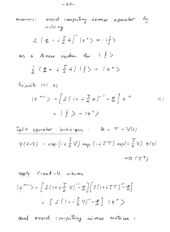
page 59
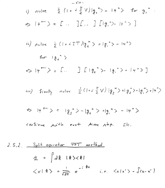
page 60
page 61
page 62
page 63
page 64
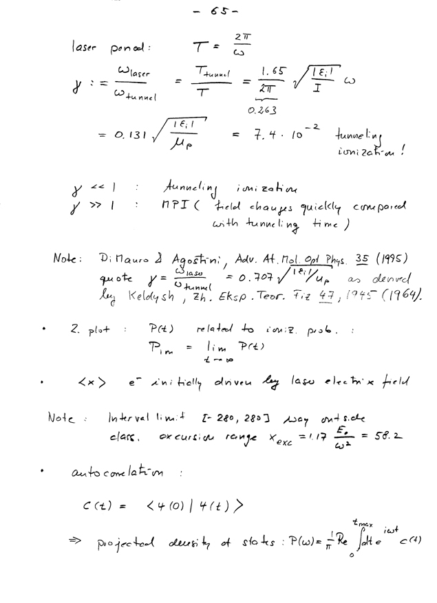
page 65
page 65a
page 65b
page 65c
page 65d
page 66
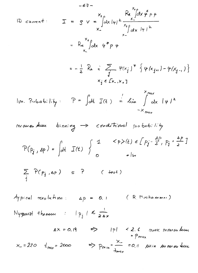
page 67
page 68


NEXT



Chapter 1
Chapter 2.1
Chapter 2.2
Chapter 2.3
Chapter 2.4a
Chapter 2.4b
Chapter 2.5
Chapter 3.1
Chapter 3.2
Chapter 3.3
Chapter 3.4
Chapter 4
Chapter 5
Chapter 6.1
Chapter 6.2
Chapter 6.3
Chapter 6.4
Chapter 6.5
Chapter 6.6