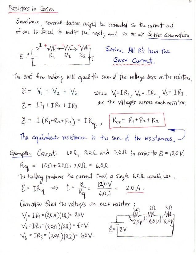
DC Circuits & Kirchhoff's Rules