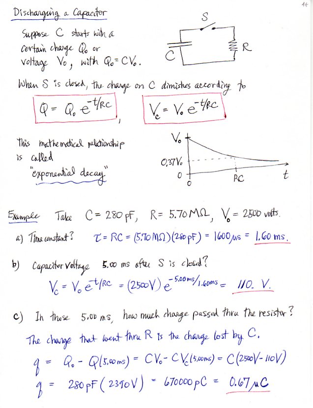
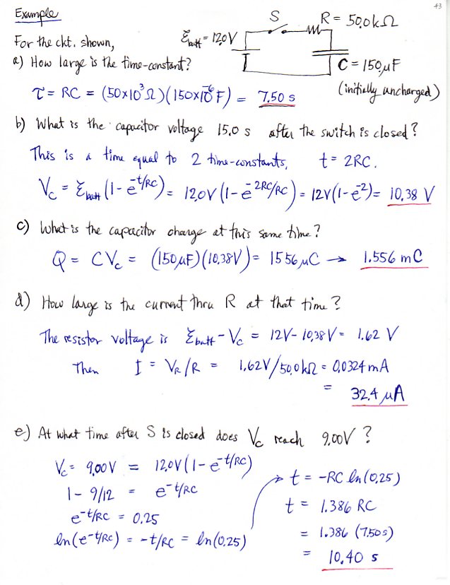
Charging/Discharging Capacitors