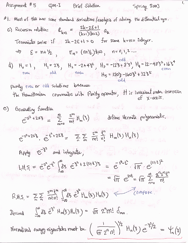
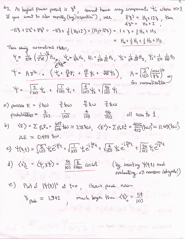
Assignment 5
Brief Solutions