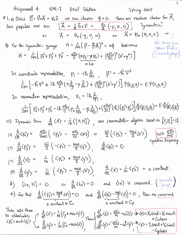
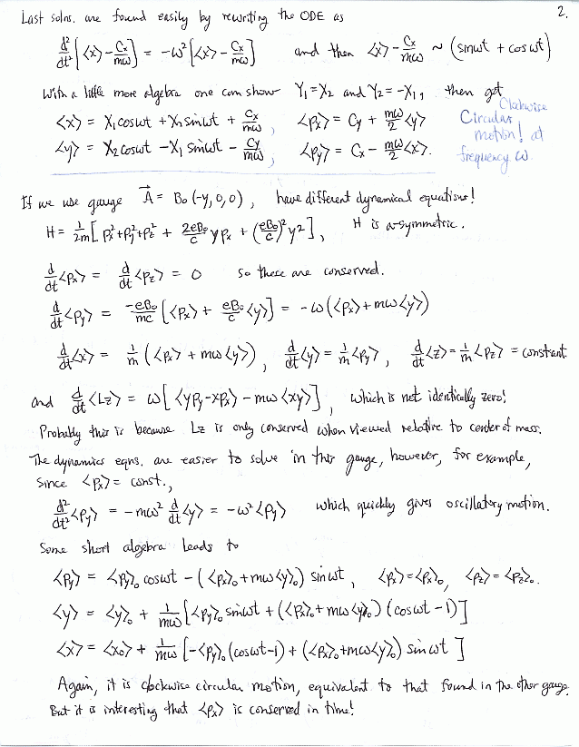
Assignment 4
Brief Solutions