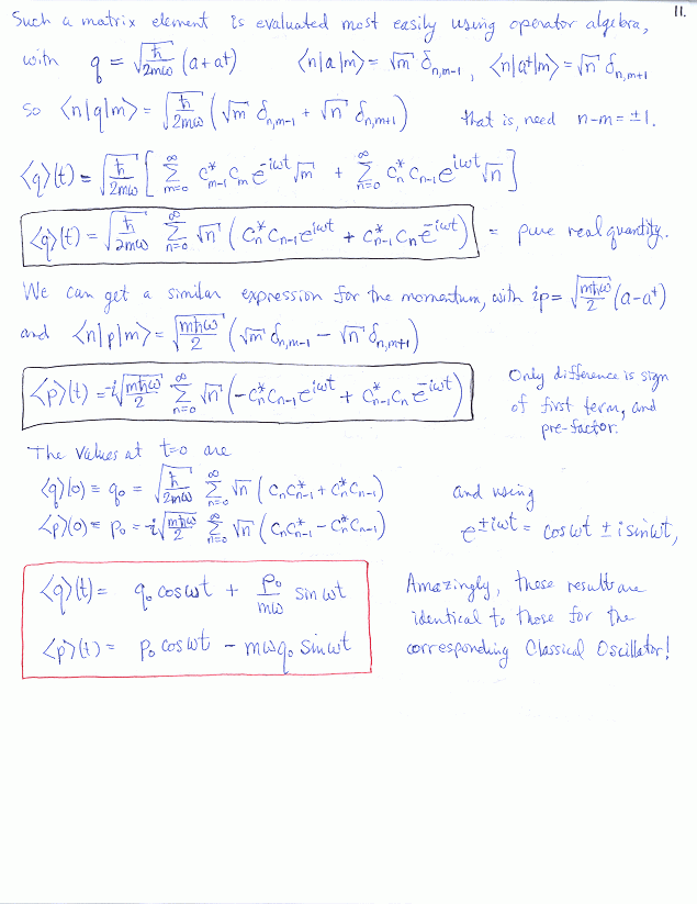
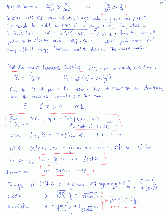
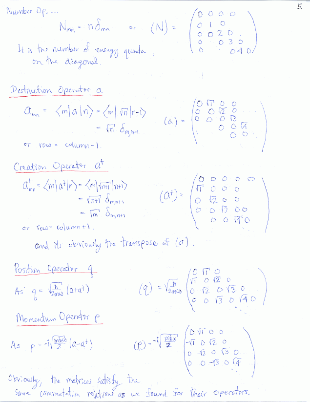
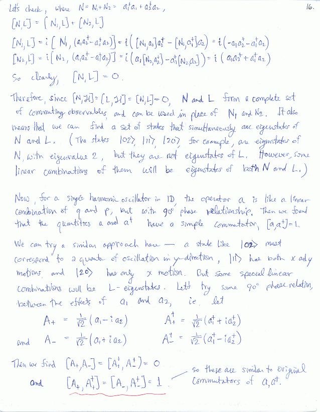
Harmonic: Application to Simple Systems -- Linear Harmonic Oscillator
(Merzbacher Ch. 5, 10, Messiah, Ch. XII)