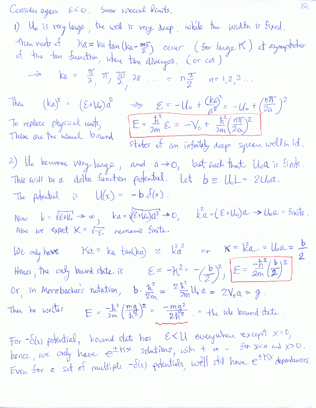
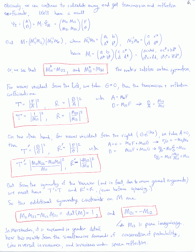
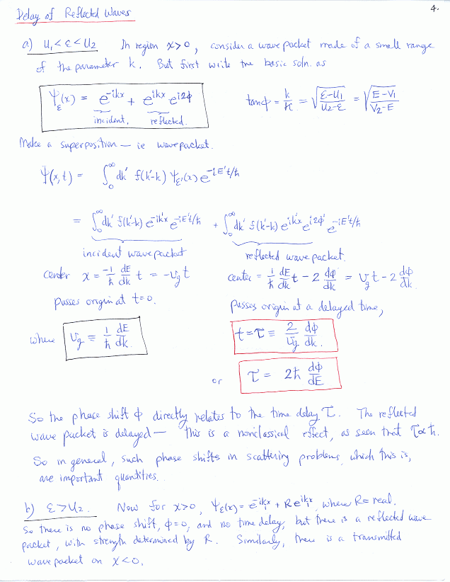
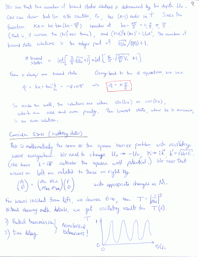
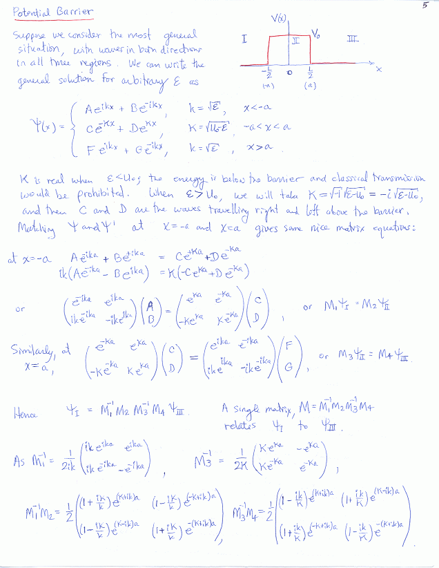
One-D: Some Applications---One-Dimensional Quantized Systems (Merzbacher Ch. 6, Messiah, Ch. III)