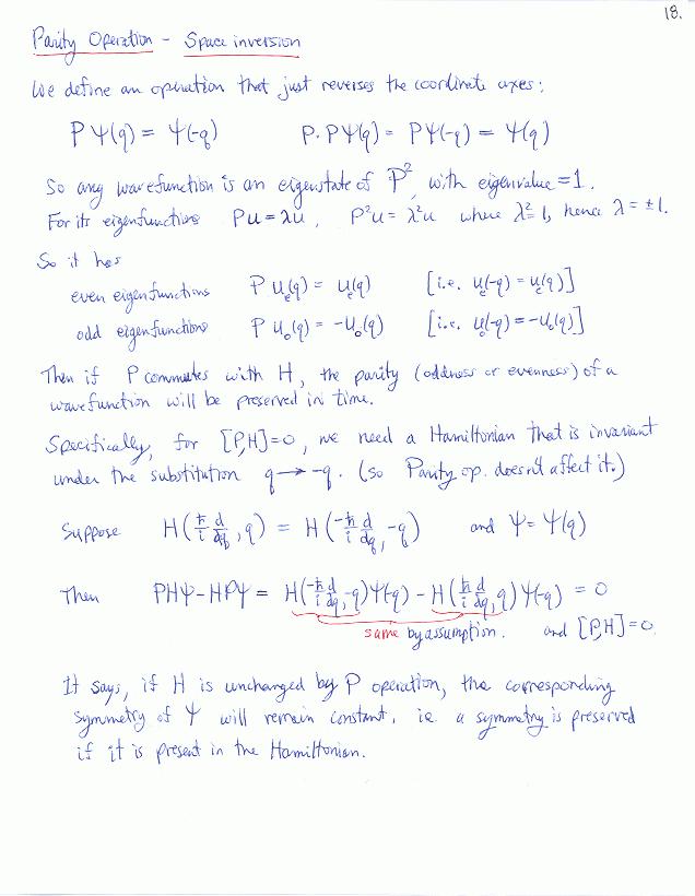
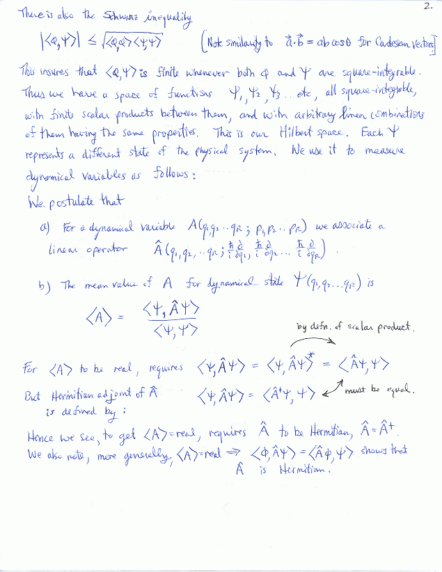
Spaces: The Formalism of Quantum Mechanics.
Wavevector Space, Inner Products, Eigenspectra (Messiah, Ch. V)