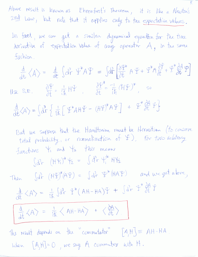
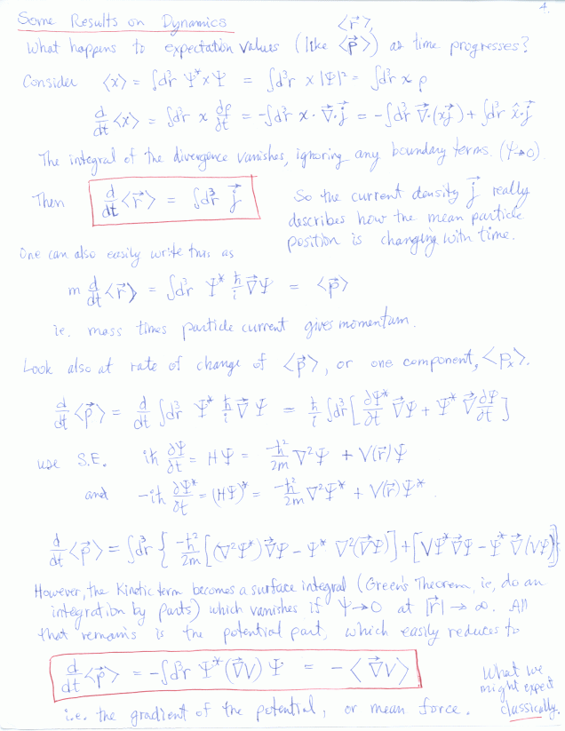
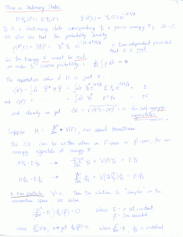
Examples: Examples concerning Momentum Representation, Dynamics, Schrodinger Eqns. (Messiah, Ch. IV)