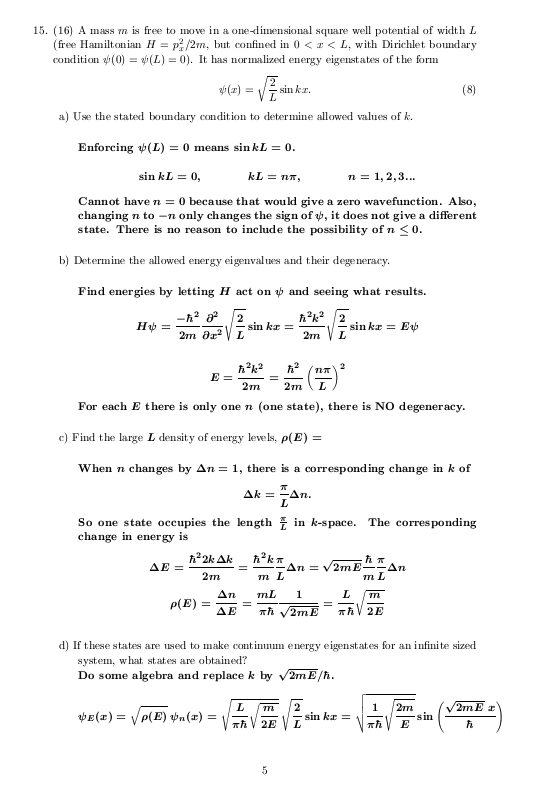
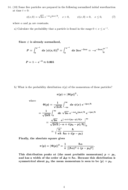
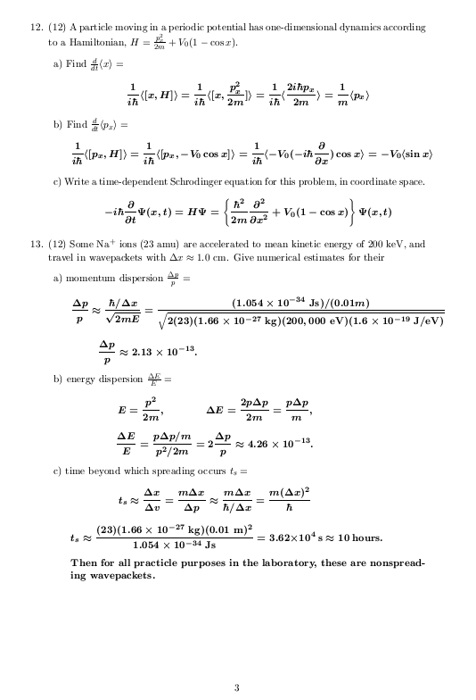
2003 Midterm Exam Solution