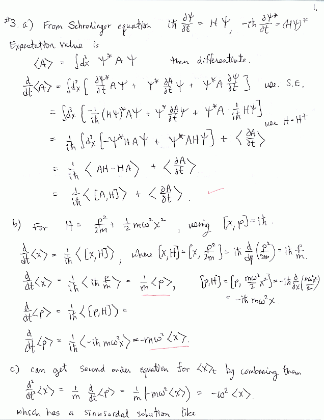
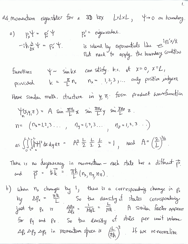
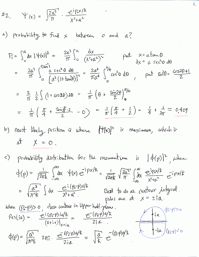
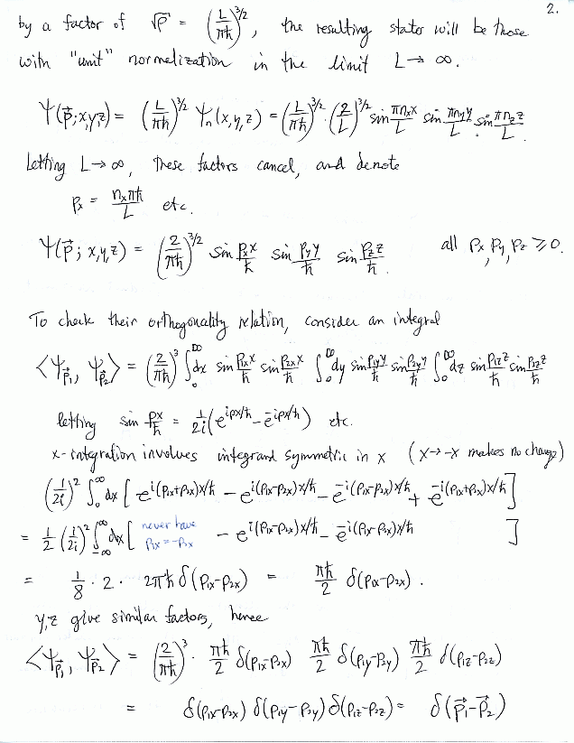
2002 Midterm Exam Solution