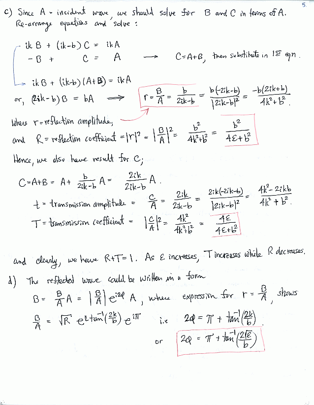
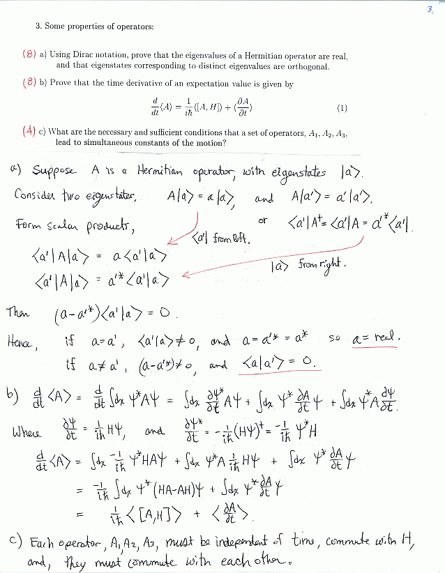
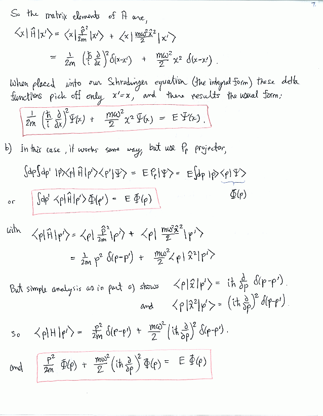
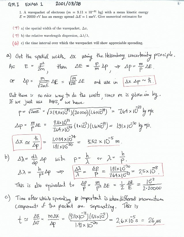
2001 Midterm Exam Solution