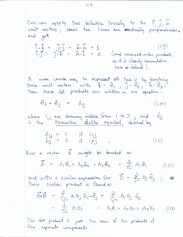
Introduction to Vectors and Index Notation
(Scalar Product, Kronecker Delta, Einstein Sum Convention, Cross Products)