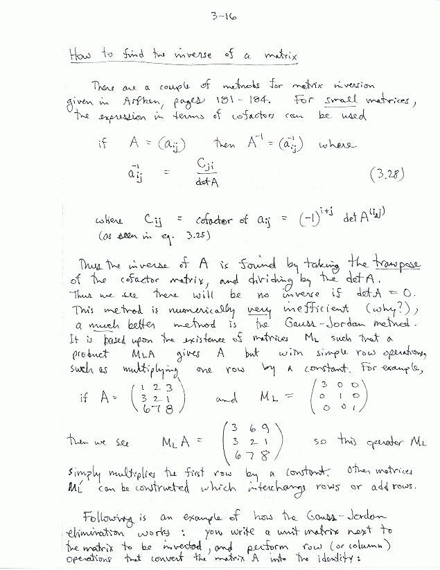
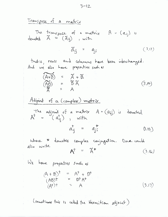
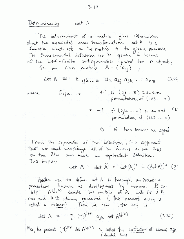
Matrix Propoerties and Operations