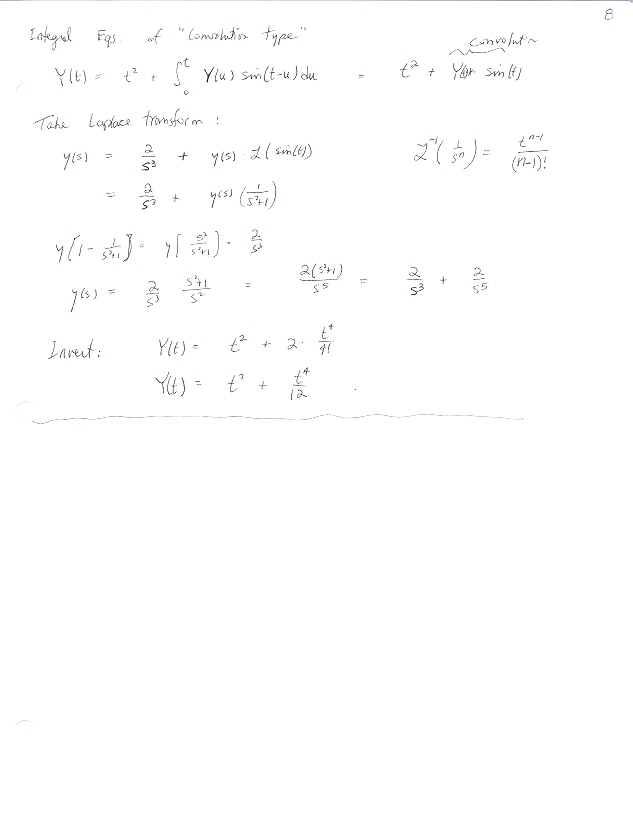
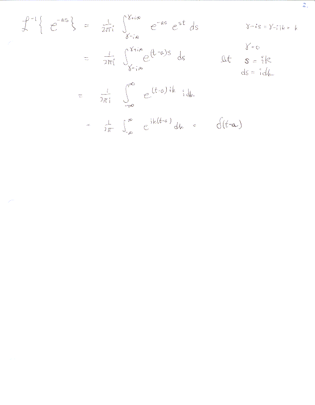
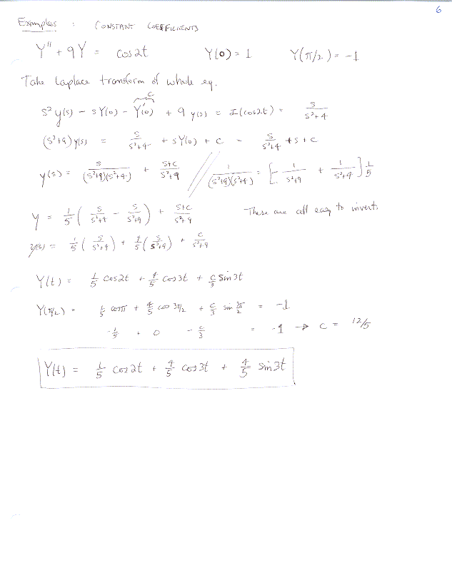
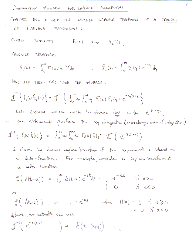
Laplace Transforms: Other Properties and Notes