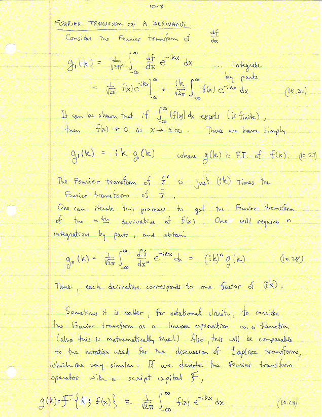
Fourier Transforms of Derivatives and Integrals; Convolution and Parseval Relation