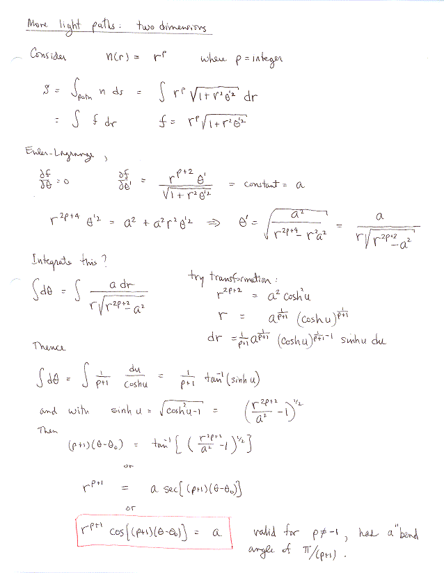
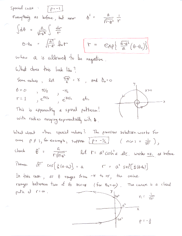
Euler-Lagrange Examples:
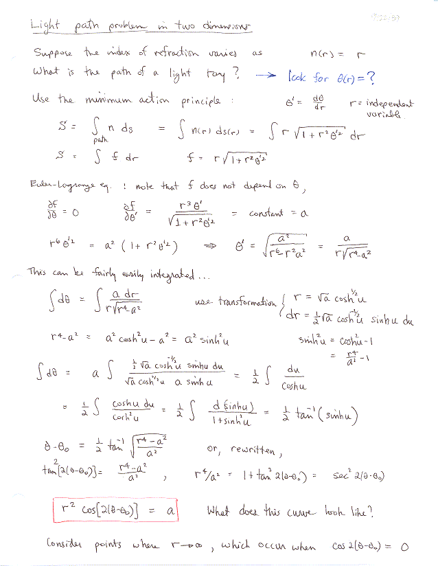
Light Path Problems