Analytic Functions, Part II

pages 1-17:
POLES, RESIDUES and PRINCIPAL VALUED INTEGRALS.

pages 18-38:
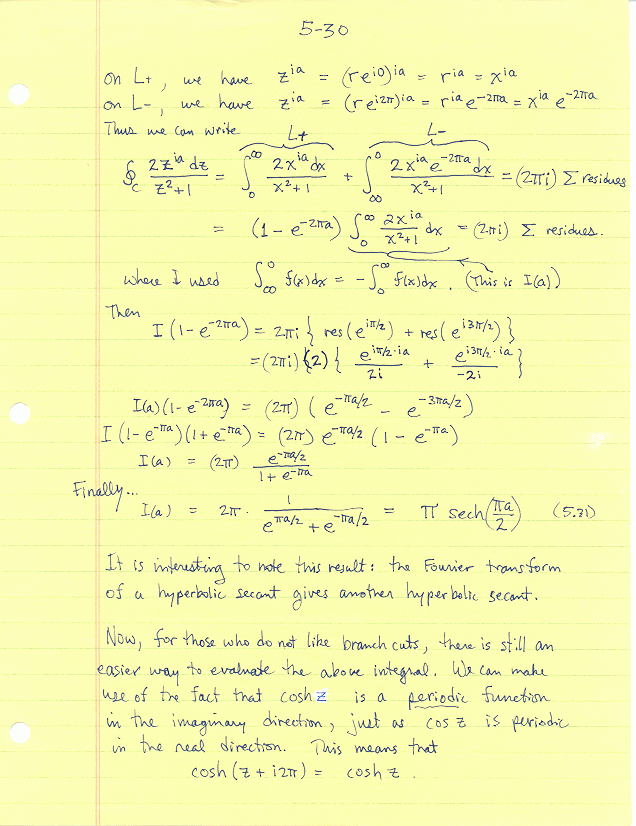
APPLICATION to REAL DEFINITE INTEGRALS and SUMS.
Definite Integrals on Unit Circle, Definite Integrals on whole real axis, Definite Integrals and periodicity, Definite Integrals on positive real axis, Summation of series,