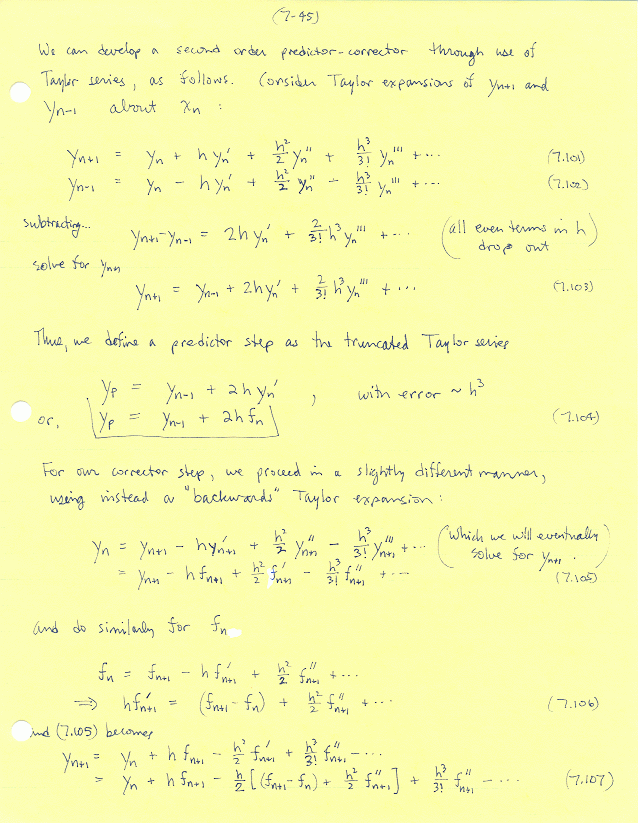
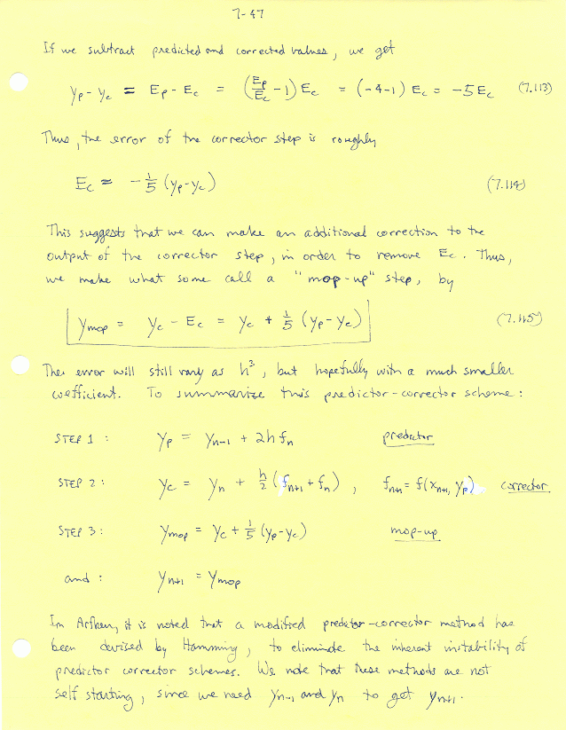
Numerical Solutions of ODEs