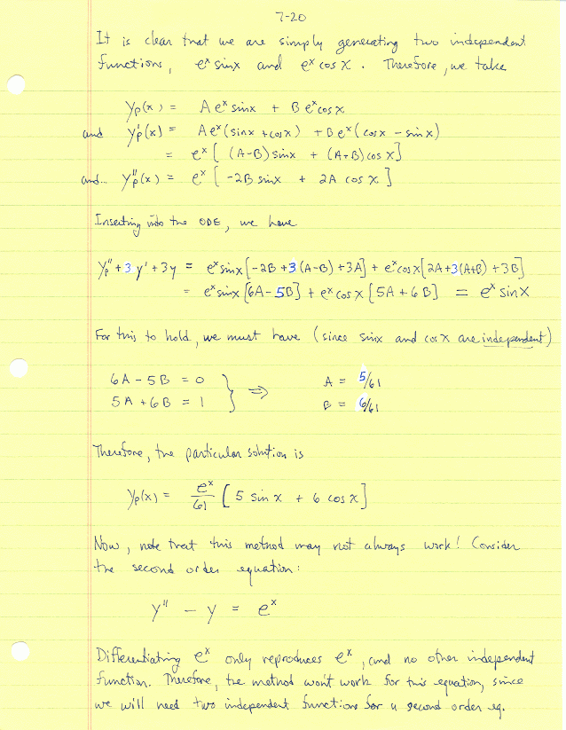
2nd Order and Higher Order ODEs