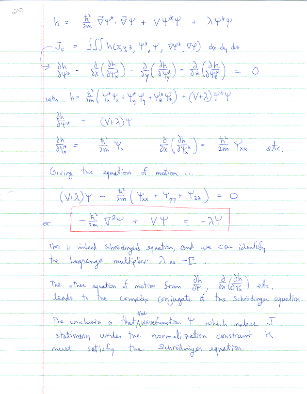
Multiple Independent Variables, Classical Field and Quantum Examples