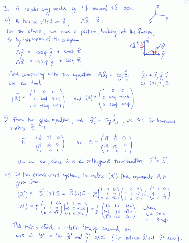
Midterm Solution: