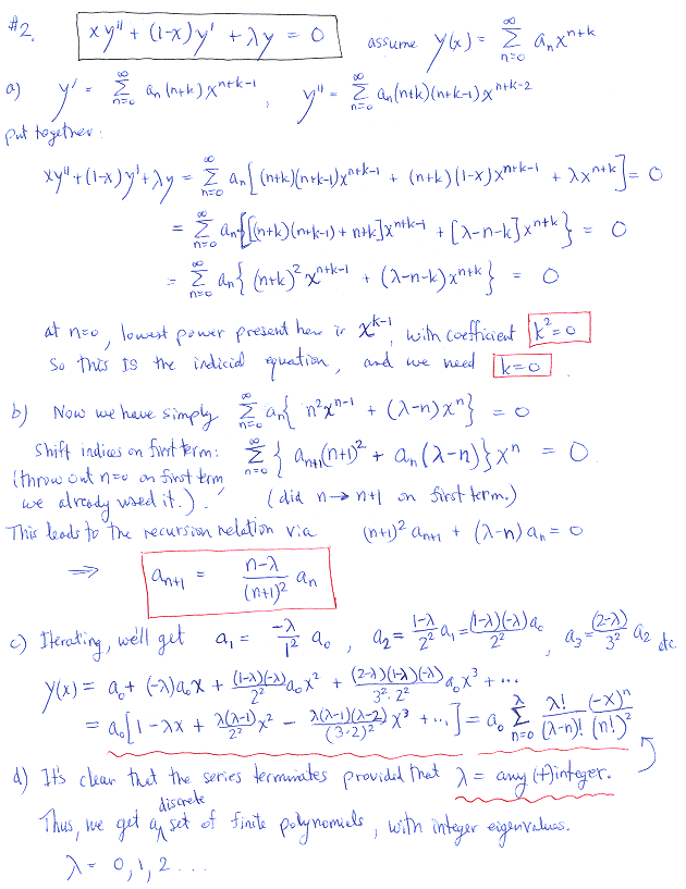
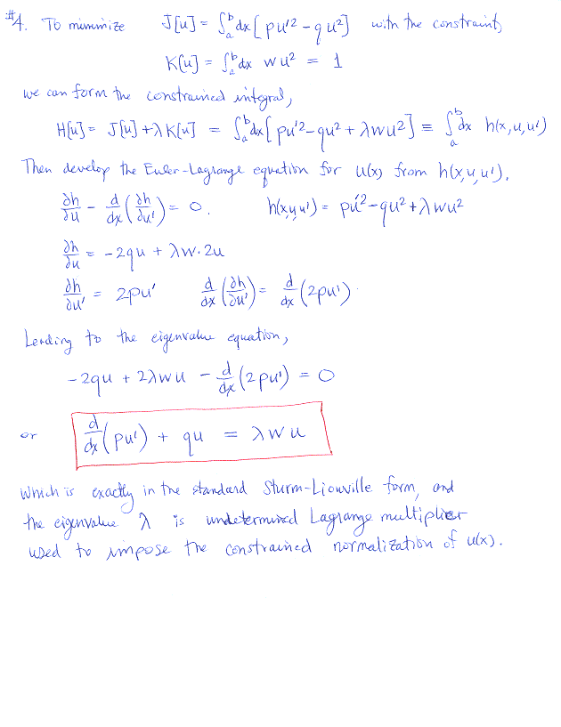
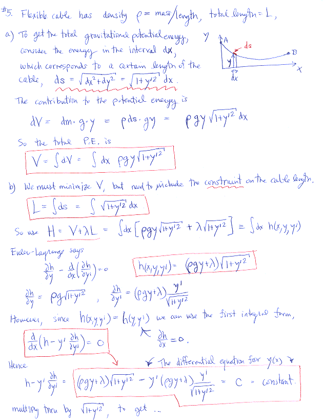
Final Exam Solution: