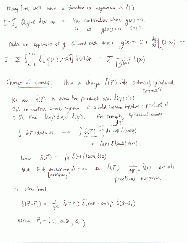
Dirac Delta Function