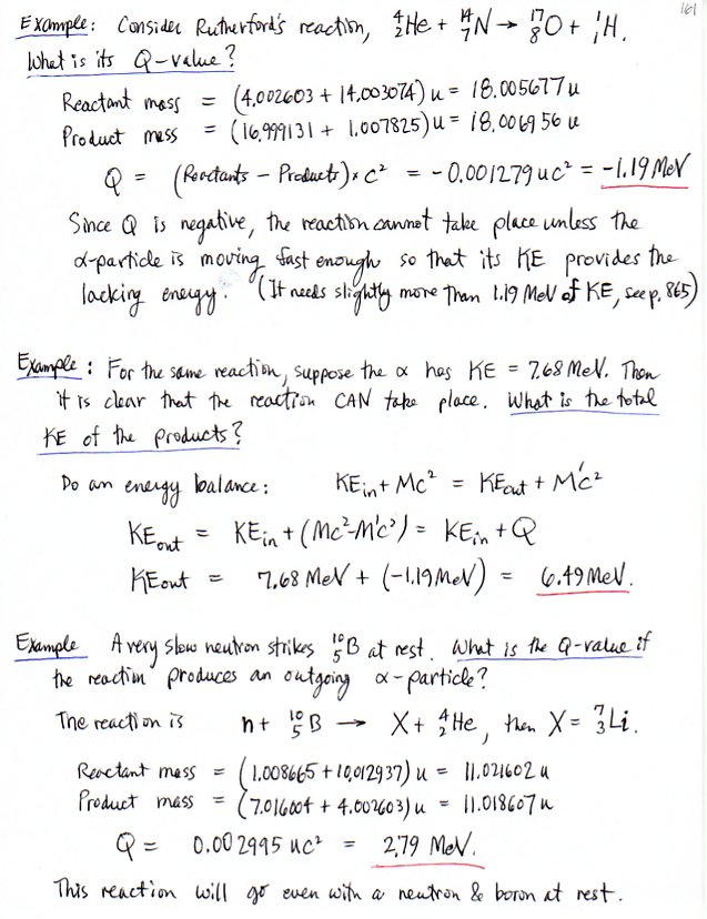
Nuclear Energy: Transmution, Fission, Fusion