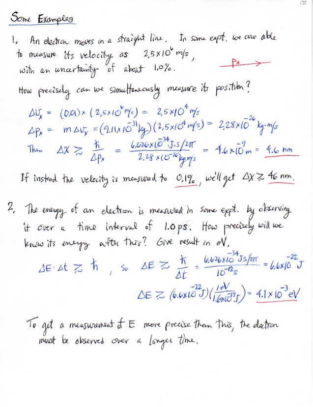
Quantum Mechanics and Heisenberg Uncertainty