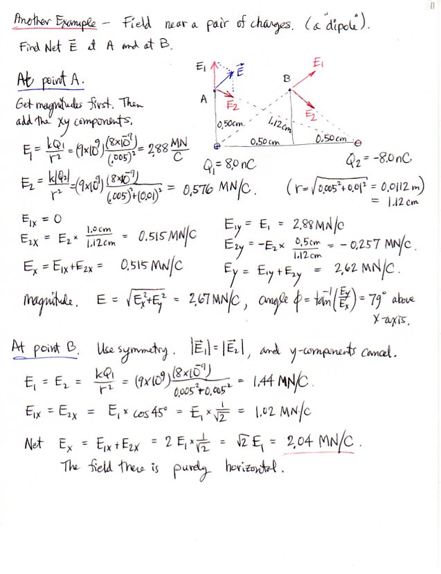
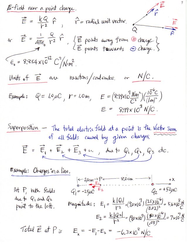
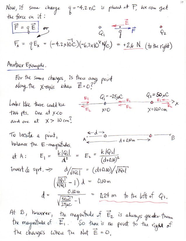
Electric Field and Field Lines