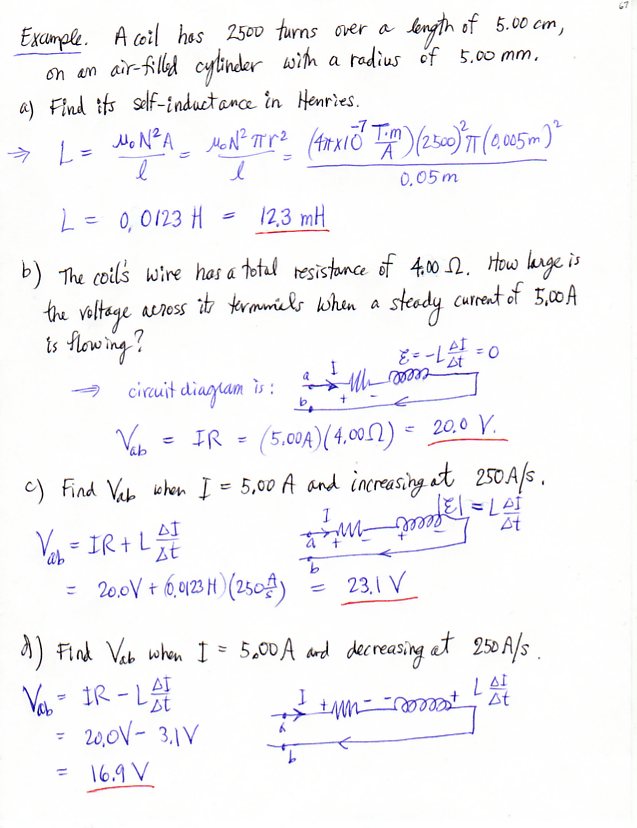
Inductors and Capacitors in AC Circuits

AC Resonance and Oscillators (click for more details)