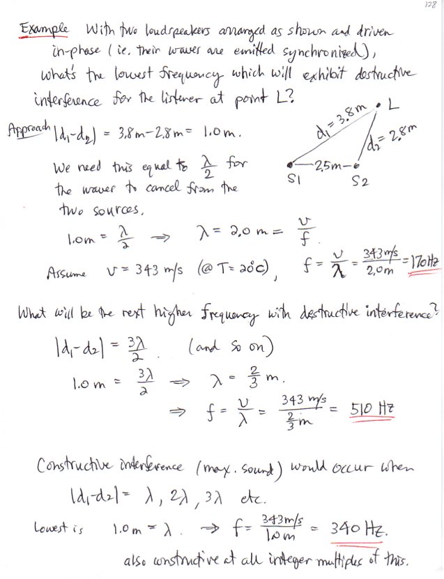
Sound Effects: Interference, Doppler

click for next page click for next page click for next page click for next page click for next page click for next page click for next page