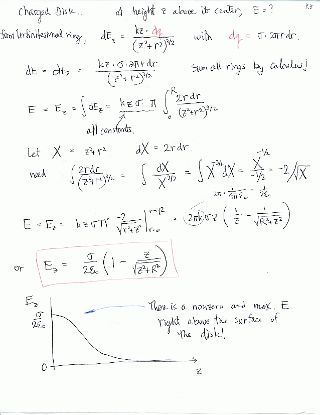
click for next pages
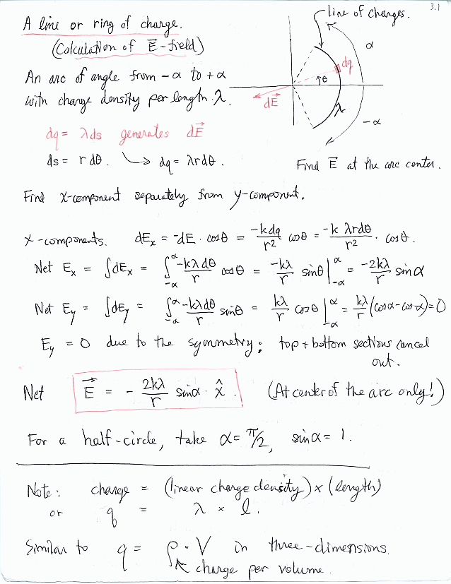
click for next pages
click for next pages
click for next pages