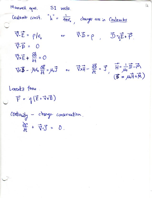
Introduction and Survey (Jackson, Ch. I)
Range of applicability of Classical Electrodynamics