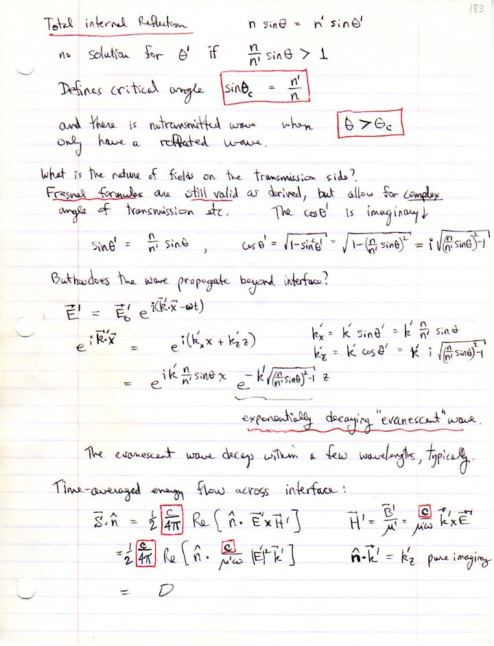
Plane Electromagnetic Waves and Propagation (Jackson, Ch. 7)
Reflection, refraction, total internal reflection at an interface.