Electrodynamics: Time-varying fields (Jackson, Ch. 6)
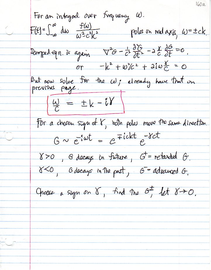
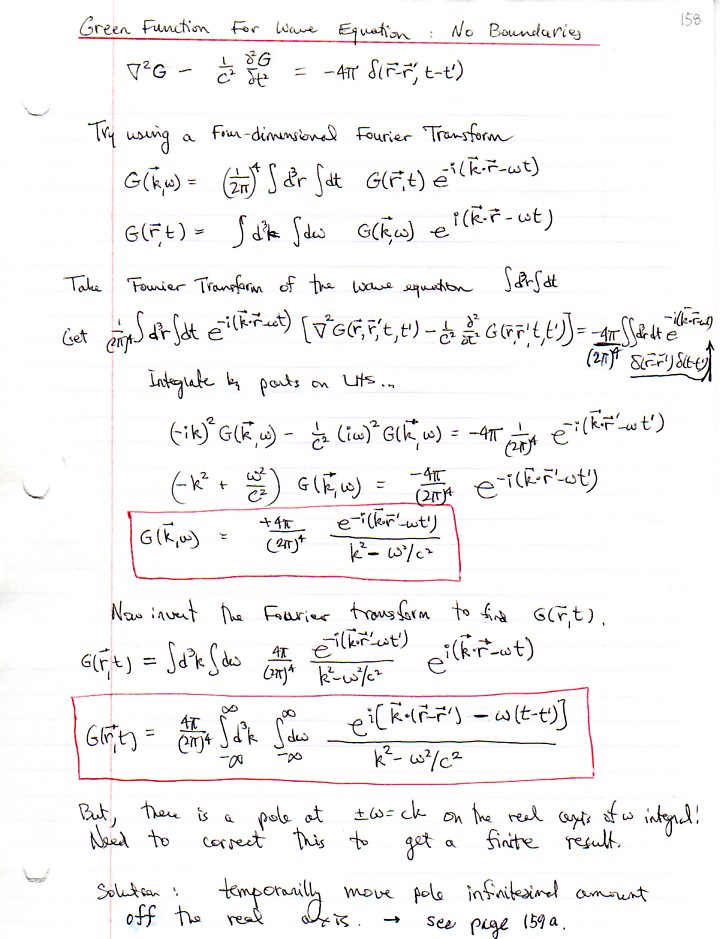
Green function for wave equation.