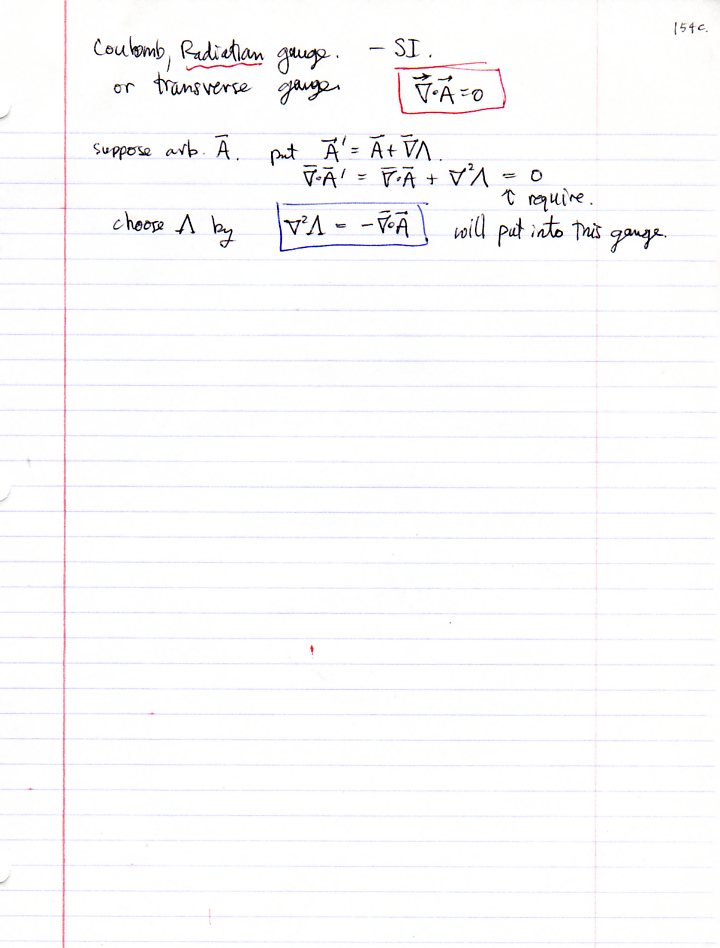
Electrodynamics: Time-varying fields (Jackson, Ch. 6)
Vector and scalar potentials.