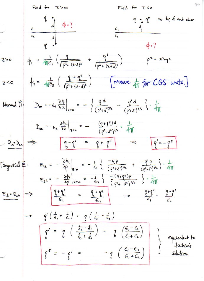
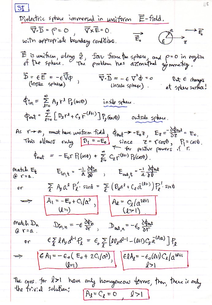
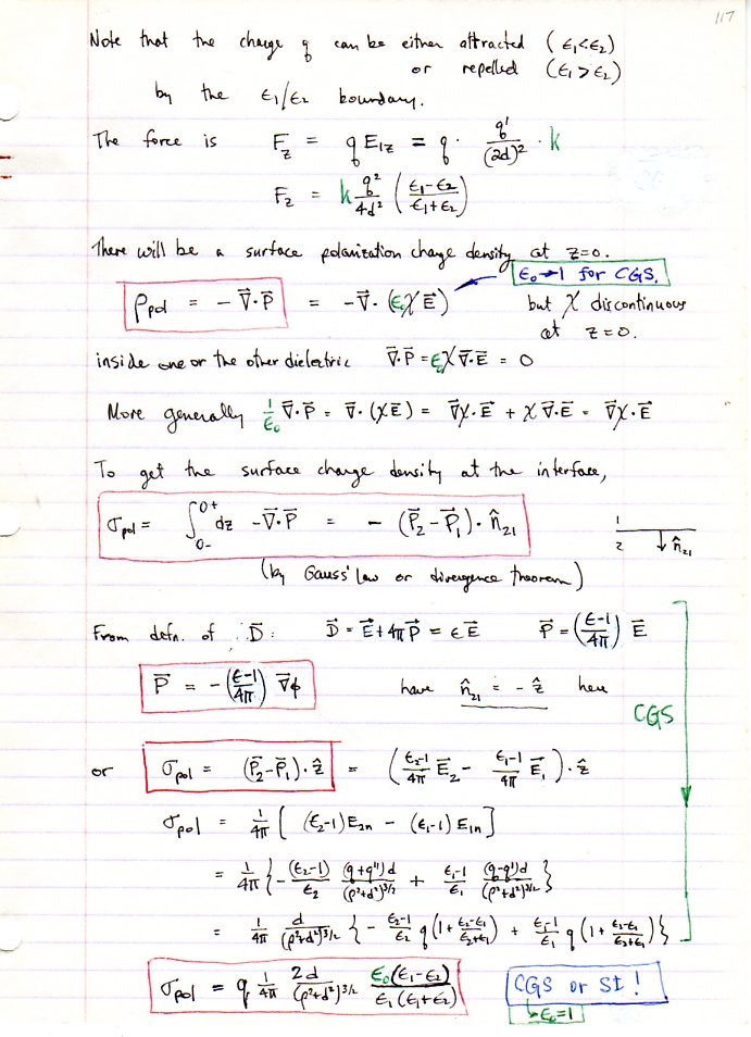
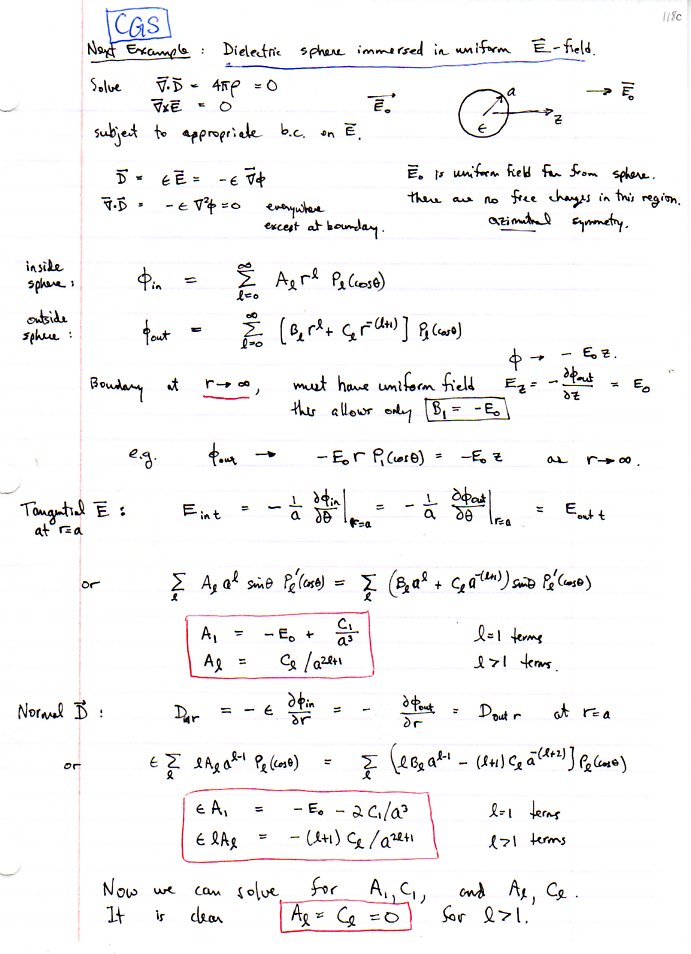
Multipoles, Macroscopic Media, Dielectrics (Jackson, Ch. 4)
Boundary value problems with dielectrics (SI & CGS units).