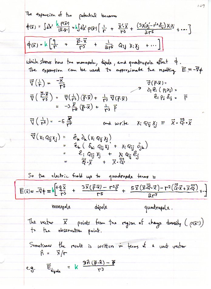
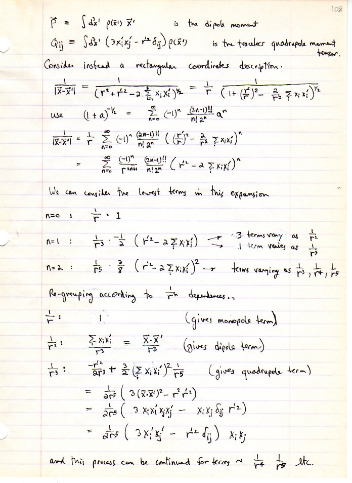
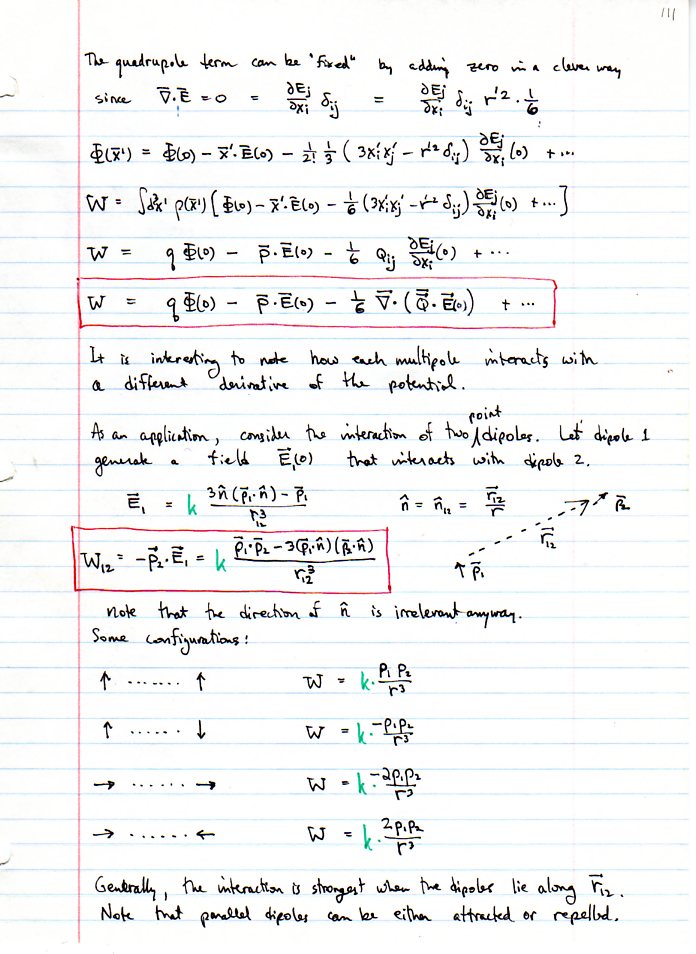
Multipoles, Macroscopic Media, Dielectrics (Jackson, Ch. 4)
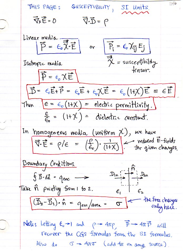
Multipoles, polarization, susceptibility, and dielectrics.