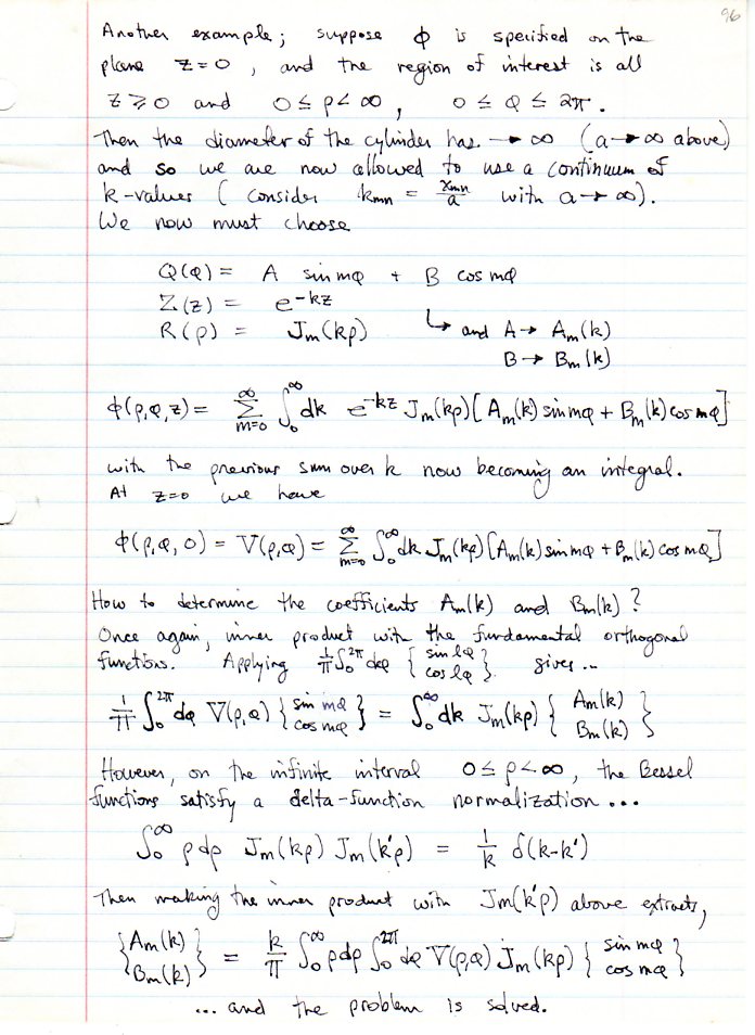
Electrostatic Boundary Value Problems II (Jackson, Ch. 3)
Laplace Equation in Cylindrical coordinates; Bessel functions.