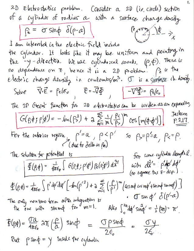
Electrostatic Boundary Value Problems I (Jackson, Ch. 2)
Example of Solving 2D Poisson Equation.