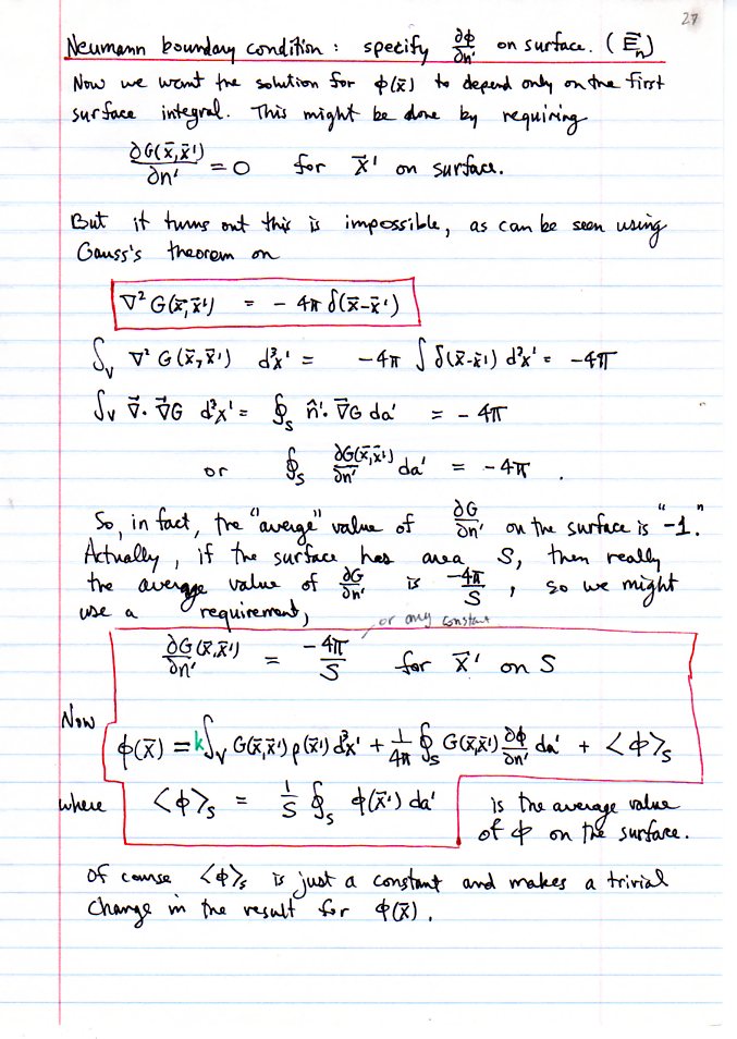
Electrostatics in Vacuum (Jackson, Ch. 1)
Poisson, Laplace Eqs., and Green's function approach.