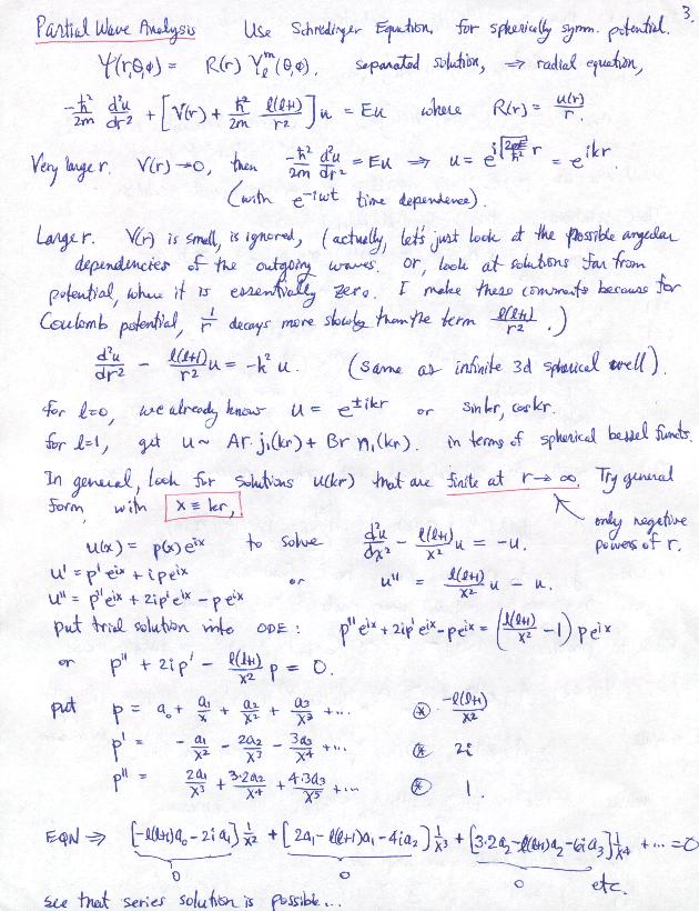
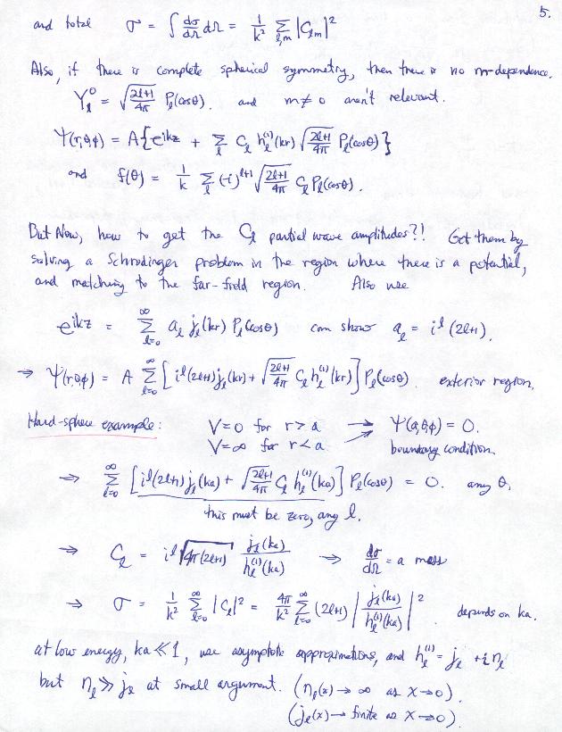
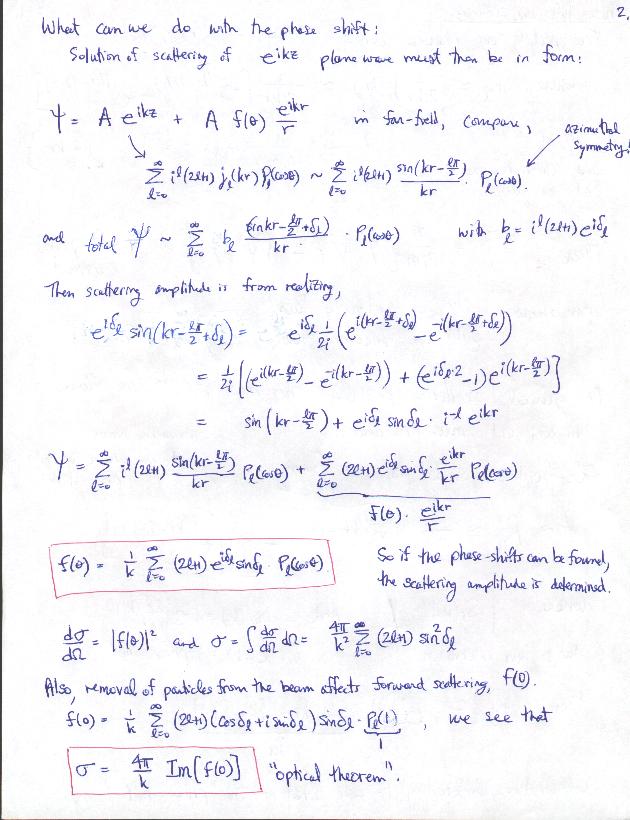
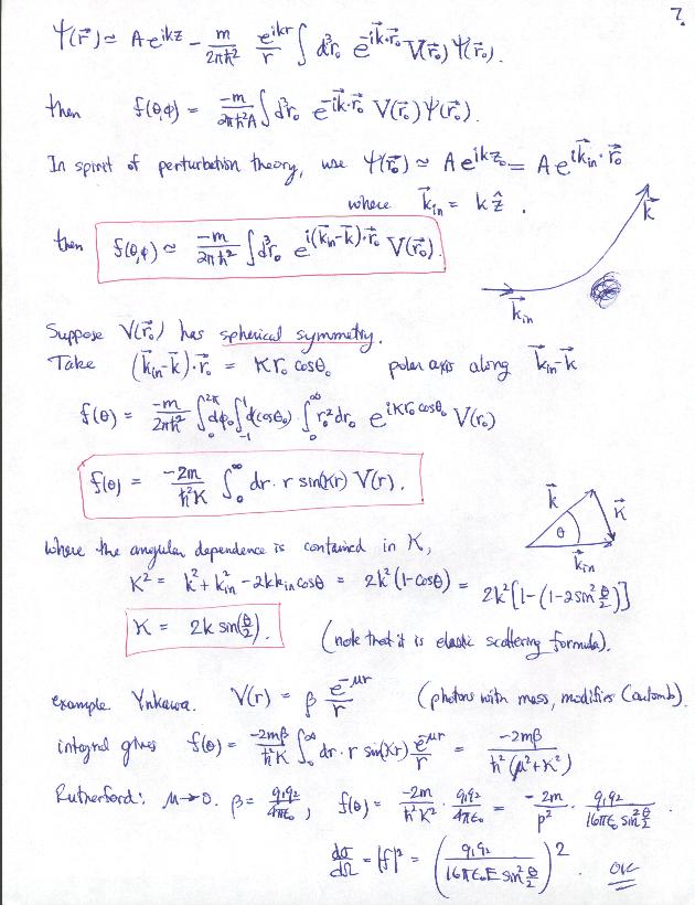
Applied Quantum Mechanics, Physics 709 (Wysin)
Kansas State University, Fall 1998.

Scattering Theory: Particle-on-Particle Collisions