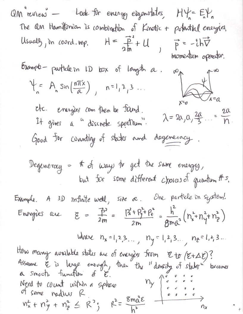
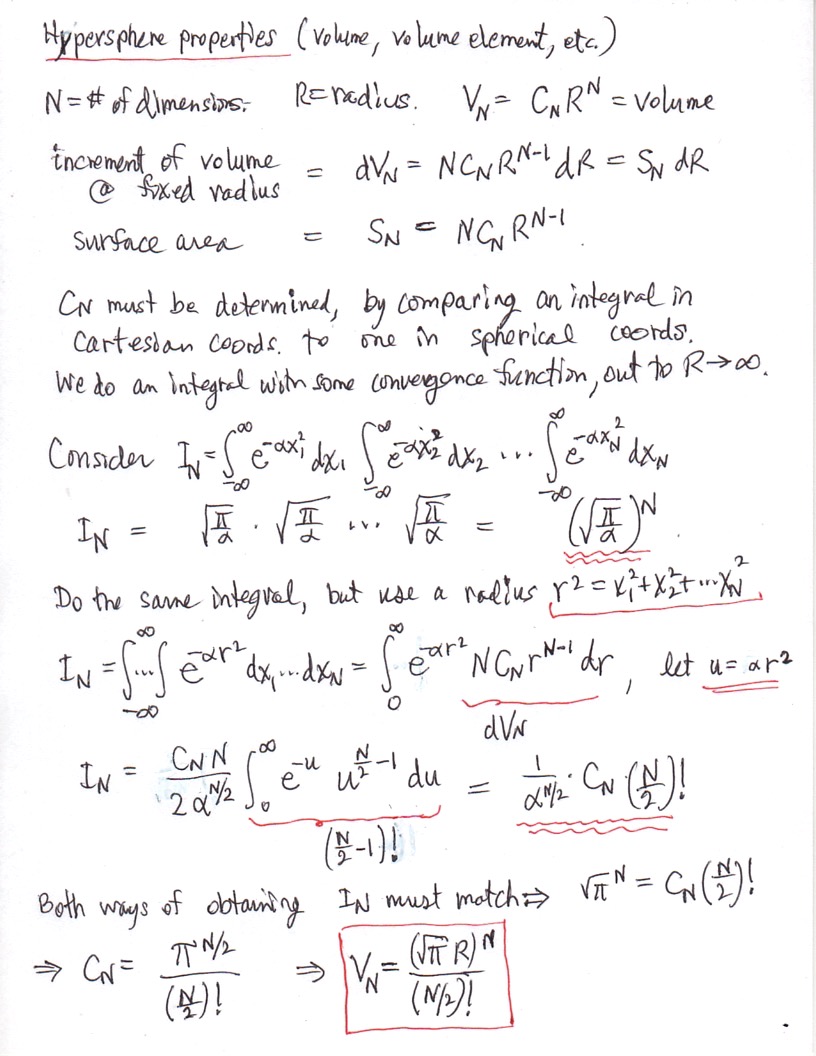
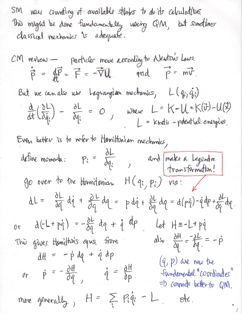
Introduction and Review (various notes)
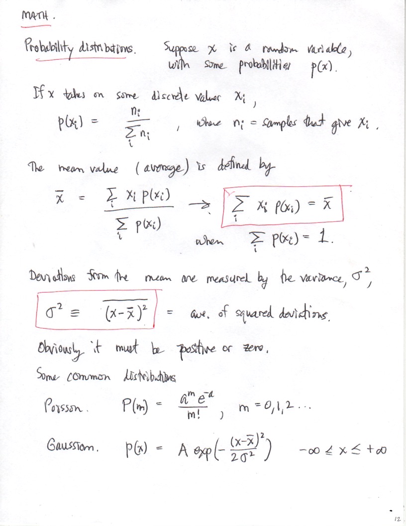
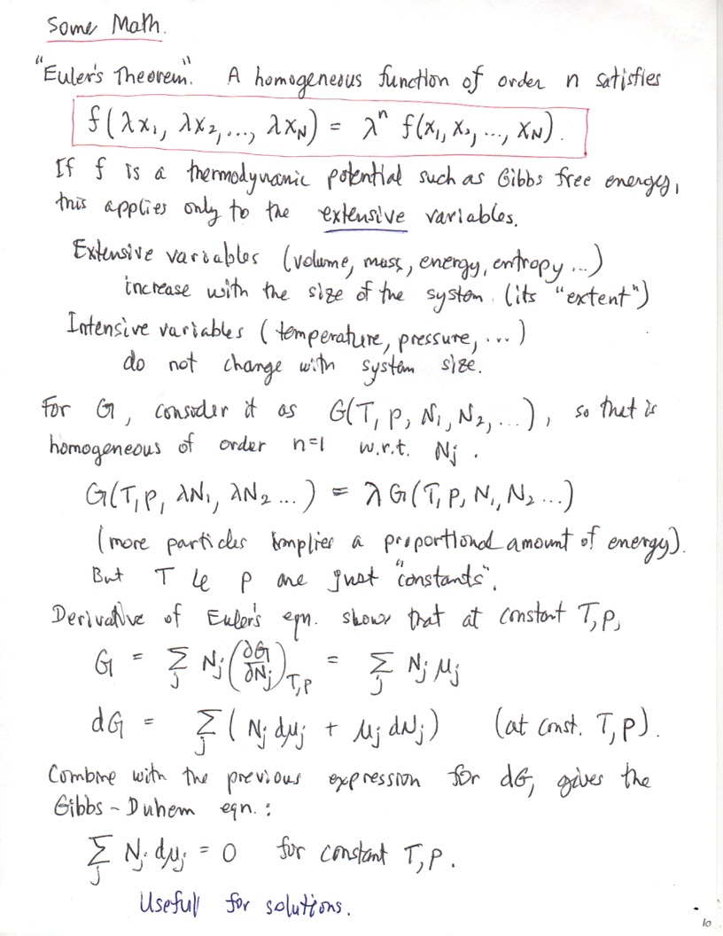
Course overview and review/summary of thermodynamics and other topics.