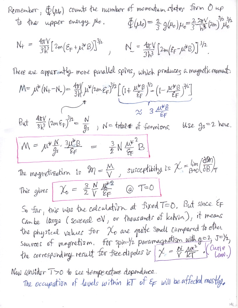
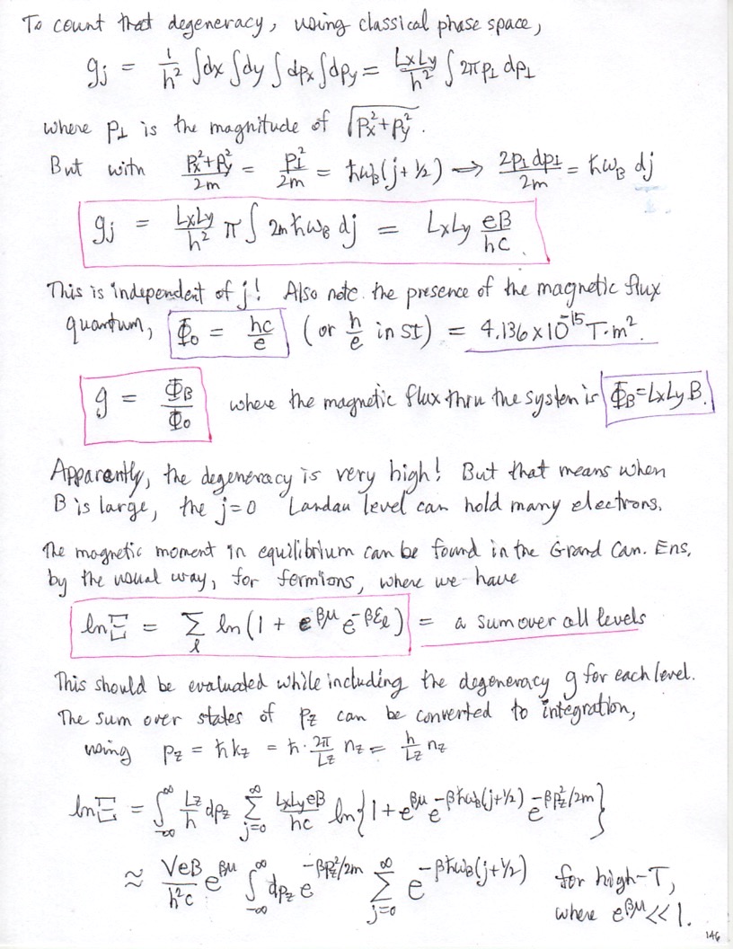
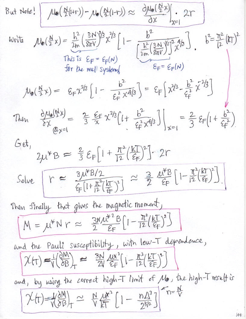
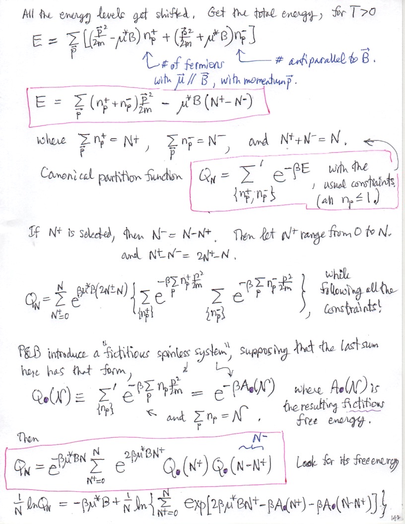
Ideal Fermi Gases (Pathria & Beale Ch. 8)
Pauli paramagnetism and Landau diamagnetism in ideal fermi gases.