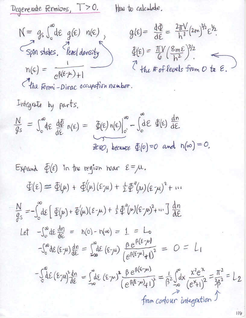
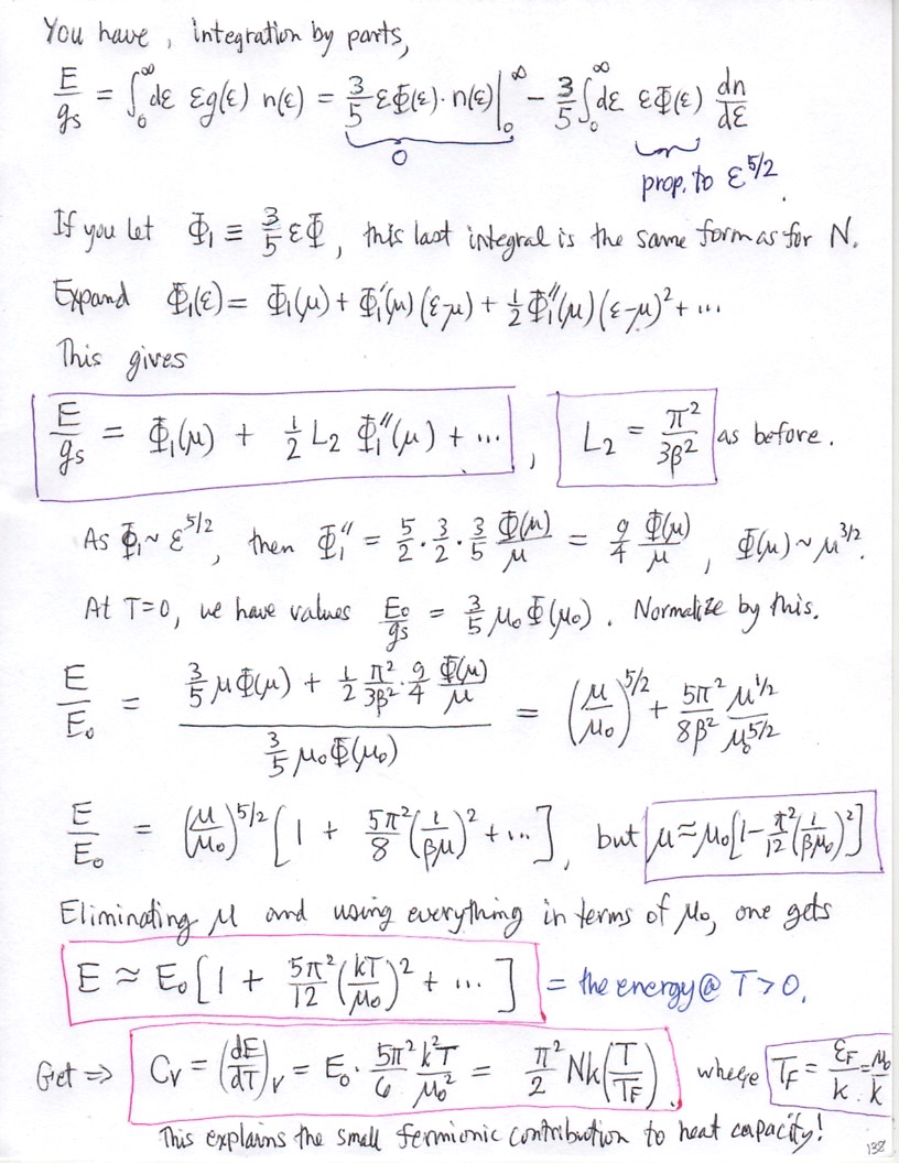
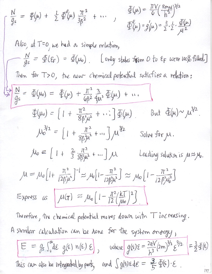
Ideal Fermi Gases (Pathria & Beale Ch. 8)
Statistics for ideal fermi gas at weak and strong degeneracy.